หน้าแรก
คอมมูนิตี้
ห้อง
แท็ก
คลับ
ห้อง
แก้ไขปักหมุด
ดูทั้งหมด
เกิดข้อผิดพลาดบางอย่าง
ลองใหม่
แท็ก
แก้ไขปักหมุด
ดูเพิ่มเติม
เกิดข้อผิดพลาดบางอย่าง
ลองใหม่
{room_name}
{name}
{description}
กิจกรรม
แลกพอยต์
อื่นๆ
ตั้งกระทู้
เข้าสู่ระบบ / สมัครสมาชิก
เว็บไซต์ในเครือ
Bloggang
Pantown
PantipMarket
Maggang
ติดตามพันทิป
ดาวน์โหลดได้แล้ววันนี้
เกี่ยวกับเรา
กฎ กติกา และมารยาท
คำแนะนำการโพสต์แสดงความเห็น
นโยบายเกี่ยวกับข้อมูลส่วนบุคคล
สิทธิ์การใช้งานของสมาชิก
ติดต่อทีมงาน Pantip
ติดต่อลงโฆษณา
ร่วมงานกับ Pantip
Download App Pantip
Pantip Certified Developer
โจทย์คณิตศาสตร์คลายเครียดครับ...
กระทู้คำถาม
คณิตศาสตร์
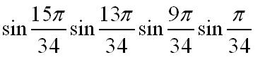
จงหาค่าของ
▼
กำลังโหลดข้อมูล...
▼
แสดงความคิดเห็น
กระทู้ที่คุณอาจสนใจ
โจทย์คณิตศาสตร์ จงหา หรม ของ 168 420 และ 588 โดยใช้ขั้นตอนแบบยูคลิด แสดงวิธีทำ
ขอบคุณครับผม ได้แล้วครับ
สมาชิกหมายเลข 9068738
คณิตศาสตร์ หลักการนับเบื้องต้น
ให้นักเรียนคนหนึ่งเลือกทำข้อสอบหนึ่งข้อจากห้าข้อแต่ละข้อมีสี่ตัวเลือกจงหาว่านักเรียนคนนี้จะมีวิธีทำข้อสอบดังกล่าวได้ทั้งหมดกี่วิธี ข้อนี้ทำยังไงคะ
สมาชิกหมายเลข 7847927
🧘ปฏิบัติ : กายก็ดี ๆ แต่ใจมันทุกข์มาก ก็ทำอะไรไม่ไหวถ้าใจอ่อนแอ
ระบบสมองมันทำไปตามจิต จิตสั่งการคิดนึกทำอะไร สมองก็ทำงานบีบตัว รัดตัว คิดมากก็บีบตัวมาก มันก็เครียด ความเครียดมาก หนักเข้าก็ไม่ไหว แต่ว่าเราปฏิบัติ เรามีสติคอยรู้ตัว เห็นสมองตึงก็ผ่อนคลาย คลายอ
RIGO RIGHI
เตรียมสอบช่างฝืมือทหารปี69
คือปีหน้าเราจะสอบเข้าโรงเรียนช่างฝีมือทหารภาคสมทบค่ะ เราเรียนปานกลางได้เกรดไม่เคยตํ่ากว่า3.50เลยค่ะ แต่พอมาลองติวลองทำข้อสอบรู้สึกว่าตัวเองตีโจทย์คณิตศาสตร์ไม่ค่อยแตกเลยค่ะ เวลาเตรียมตัวก็เหลือไม่มากแ
สมาชิกหมายเลข 9098831
ใครก็ได้แก้โจทย์ให้ทีด่วนๆๆ
คืออาจารย์ให้เราแก้โจทย์วิชาคณิตศาสตร์ โจทย์คือ เลี้ยงแพะ 10 ตัวแต่ละตัวหนักx kg จงหา 3 ค่า โดยให้เลขมา ข้อ 1. 6.64kg
สมาชิกหมายเลข 2729384
all x some y กับ some y all x
คืองี้ครับ ผมลองถาม GPT มา all x some y คือไร มันบอกว่าคือ สำหรับทุกค่า x จะมีอย่างน้อยหนึ่ง y ที่ทำให้เงื่อนไขเป็นจริง เเต่อาจารของผมบอกว่ามันคือ y หนึ่งตัวที่ทำให้ x ทุกตัวเป็นจริงซึ่งผมไปถาม GPT อี
สมาชิกหมายเลข 6317956
เคยเล่น เป่า ยิ้ง ฉุบ กันไหม ชอบออกอะไรกันครับ ลองเล่นไหมครับ ค้อน กรรไกร กระดาษ ทายลักษณะนิสัยได้นะครับ 555 🤩
กท.คลายเครียดนะครับไม่ได้มาปั่นยอดนะครับ! วันนี้ 9 เดือน 9 งดตั้งกระทู้ อาหารการกินครับ เลยอยากตั้งอะไรเบาๆสนุกคลายเครียดฝนตกรถติดครับพอดีวันหยุดไปหาหลานสาวมาครับ น้องอยากเล่นซ่อนแอบ ก็เลยต้องเป่ายิ้ง
double two
การซื้อของ ช๊อปปิ้ง เป็นการคลายเครียดจริงหรือเปล่า?
เห็นมีคนพูดว่าการได้ซื้อของมานั่นเป็นการผ่อนคลายจากความเครียดทำให้ร่างกายมีชีวิตชีวานั่นเป็นความคิดที่ถูกต้องไหม?(อันนี้ไม่เกี่ยวกับการที่ต้องเป็นหนี้เป็นสินน่ะ)
สมาชิกหมายเลข 9074507
รบกวนแก้โจทย์ข้อนี้ทีค่ะ ทำไม่ได้เลย
สมาชิกหมายเลข 8564044
เครียดเรื่องเกรดจังเลยค่ะ
คือเราเพิ่งสอบปลายภาคเสร็จปิดเทอมแล้วค่ะ ทีนี้กลัวเกรดคณิตมากๆ เกรดยังไม่ออกนะคะ กลัวได้ไม่ถึง3 กลัวครอบครัวผิดหวัง เครียดมากค่ะ จริงๆก็มาระบายมาบ่นให้ฟังเฉยๆแหละค่ะ ถึงจะได้ไม่ถึงสามก็แก้อะไรไม่ได้ เ
สมาชิกหมายเลข 8378750
อ่านกระทู้อื่นที่พูดคุยเกี่ยวกับ
คณิตศาสตร์
บนสุด
ล่างสุด
อ่านเฉพาะข้อความเจ้าของกระทู้
หน้า:
หน้า
จาก
แชร์ :
โปรดศึกษาและยอมรับนโยบายข้อมูลส่วนบุคคลก่อนเริ่มใช้งาน
อ่านเพิ่มเติมได้ที่นี่
ยอมรับ
โจทย์คณิตศาสตร์คลายเครียดครับ...