หน้าแรก
คอมมูนิตี้
ห้อง
แท็ก
คลับ
ห้อง
แก้ไขปักหมุด
ดูทั้งหมด
เกิดข้อผิดพลาดบางอย่าง
ลองใหม่
แท็ก
แก้ไขปักหมุด
ดูเพิ่มเติม
เกิดข้อผิดพลาดบางอย่าง
ลองใหม่
{room_name}
{name}
{description}
กิจกรรม
แลกพอยต์
อื่นๆ
ตั้งกระทู้
เข้าสู่ระบบ / สมัครสมาชิก
เว็บไซต์ในเครือ
Bloggang
Pantown
PantipMarket
Maggang
ติดตามพันทิป
ดาวน์โหลดได้แล้ววันนี้
เกี่ยวกับเรา
กฎ กติกา และมารยาท
คำแนะนำการโพสต์แสดงความเห็น
นโยบายเกี่ยวกับข้อมูลส่วนบุคคล
สิทธิ์การใช้งานของสมาชิก
ติดต่อทีมงาน Pantip
ติดต่อลงโฆษณา
ร่วมงานกับ Pantip
Download App Pantip
Pantip Certified Developer
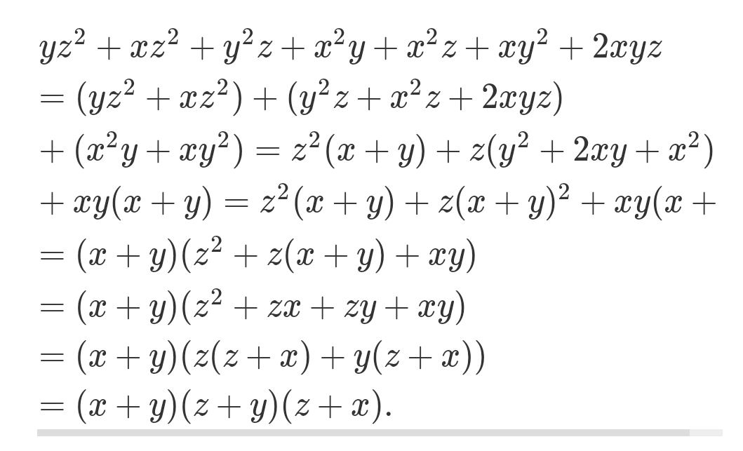
หลานฝากมาถามคะ ทำไม่ได้ ช่วยอธิบายด้วยคะ
กระทู้คำถาม
คณิตศาสตร์
ลองทำแล้วแต่ทำไม่ได้ เลยหาในเนทได้ใกล้เคียงตามนี้คะ
แต่ก้อไม่รู้จะทำไงต่อ ช่วยอธิบายด้วยนะคะ ขอบคุณคะ
▼
กำลังโหลดข้อมูล...
▼
แสดงความคิดเห็น
กระทู้ที่คุณอาจสนใจ
ทุกคนคิดว่าสิ่งที่เราเจอมันคืออะไร
อยู่ๆก็นึกถึงเรื่องที่เกือบจะลืมไปแล้ว ประมาณไม่ป.1ก็ป.2 นี่แหละ ตอนนั้นเป็นงานศพญาติข้างบ้าน และด้วยความที่เรายังเด็กเลยไม่ได้ไปฟังพระสวดอภิธรรม เพราะพ่อแม่ให้อยู่บ้าน เท่าที่จำได้วันนั้นอยู่3คน เ
สมาชิกหมายเลข 9044065
ช่วยอธิบายด้วยคะ
สองข้อนี้ไม่มีเฉลยหลานเลยมาให้หาคำตอบคะ ข้อ 12. ตอบ 36% เท่ากัน ข้อ 13. ตอบ 25 หลานตอบ 40 แต่ก้อไม่รู้ว่าใครทำถูกหรือผิดทั้งคู่คะ รบกวนผู้รู้ช่วยอธิบายด้วยคะ
ไอติม
ผิดด้วยหรอ? รปภถูกไล่ออกเพราะแค่สนิทกับนร.
ตามหัวข้อเลยค่ะ ในรร.ดังแห่งหนึ่ง ขอไม่เอ่ยชื่อนะคะ มีพี่รปภคนหนึ่งสนิทกับนักเรียนในรร.ค่ะ เขาทำงานที่นี่มา8ปีแล้ว ครอบครัวของเราที่มาส่งเรากับน้องไปรร.ก้อสนิทค่ะ นิสัยเขาเป็นมิตรมีน้ำใจมากเลยค่ะ ยา
สมาชิกหมายเลข 6450442
ดีแทค ทำไมถึงคิดค่าบริการอินเทอร์เน็ต -0.53 เดือนละเป็น 10 รอบ
ทั้งที่ไม่เคยสมัครเน็ตใช้โทรอย่างเดียว ใช้แบบเติมเงิน แถมใช้แต่ wifi ที่บ้าน สัญญาณมีปัญหาก้อบ่อย ยังจะมาเอาเปรียบค่าบริการอีก หักแต่ละครั้งคือ -0.53 คนละเวลา แต่วันเดียวกัน วันละหลายรอบ หักทุกเดือน
สมาชิกหมายเลข 9051004
อยากสอบถามเรื่องแฟน
ขอโทษค่ะอยากขอความคิดเห็นอยากรู้ว่าถ้าแฟนเราไปแอดเฟสผู้หญิงและไปกดอีโมจิหัวใจพอเราถามเขาๆก็พูดโกหกบอกกับเราแอดนานแล้วแต่พอเราเข้าไปดูมันขึ้นวันที่เมื่อไม่นานเป๊นแบบนี้แล้วเราควรทำยังไงต่อค่ะรึง่าปล่อย
สมาชิกหมายเลข 9051524
ทำไมais ถึงเติมเงินแล้วเงินไม่เข้าคะ
พอดีว่าได้เติมเงินผ่านทางแอปธนาคารmymo 20บาท ยอดเงินในบัญชีโดนหักออกแล้วแต่เงินยังไม่เข้า โทรติดต่อสอบถามแล้วเจ้าหน้าที่ให้ติดต่อมาที่aisค่ะ พอจะติดต่อแบเวไม่มีรายการหัวข้ออื่นๆให้สอบถาม แล้วต้องทำยัง
สมาชิกหมายเลข 8993531
บราซิลจะปลดล็อคอาถรรพ์นางรองได้เมื่อไร???
7ปีที่กาบี้ดำรงตำแหน่งกัปตัน และไม่เคยถือถ้วยแชมป์ในฐานะกัปตัน…. เข้ารอบ4ทีมสุดท้ายใน 11 ทัวร์นาเม้นท์ใหญ่ จบลงด้วยที่2,3,4 6 ครั้งที่เข้าชิง จบด้วยที่2ทั้งหมด… ถ้านับทางสถิติมีโอกาสเกิด
สมาชิกหมายเลข 6978961
การบ้านเด็กป.1 ให้โจทย์มากำกวม???
สวัสดีดีค่ะ คือหล่นเอาการบ้านมาให้สอน สอนจนใกล้เสร็จ ปรากฏว่าโจทย์ข้อสุดท้ายให้มากำกวม ไม่เข้าใจว่าต้องกำหมนขึ้นมาเลยหรืออะไร วอนครูคณิตศาสตร์อธิบายทีค่ะTT
สมาชิกหมายเลข 9020065
ขอปรึกษาทนายหน่อยครับ
เรื่องมีอยู่ว่า... หลานสาวต้องการเลิกกับฝ่ายชาย (เหตุผลส่วนตัว) โดยหลานสาวต้องการกลับมาอยู่บ้าน แต่ฝ่ายแม่สามีได้มาทวงรถที่หลานสาวเอามา ซึ่งชื่อรถเป็นของแม่สามี แต่หลานสาวเป็นคนจ่ายเงินดาวน์จำนวน 9,00
Loukey O
จบ.6 แล้วแต่แก้ ร.ไม่ทัน
ตอนนี้ควรทำไงดีคะ หนูเรียนจบ ม.6 ตั้งแต่กุมภาพันธ์แล้วแต่แก้ ร.ไม่ทันตอนนี้เดือน สิงหาคมแล้วค่ะซึ้งผ่านมา6เดือน แล้วควรทำไงต่อดีคะ ไม่กล้าไป รร.เลยค่ะกลัว ถ้า ไป รร.ควรบอกครูว่าอะไร
สมาชิกหมายเลข 6926307
อ่านกระทู้อื่นที่พูดคุยเกี่ยวกับ
คณิตศาสตร์
บนสุด
ล่างสุด
อ่านเฉพาะข้อความเจ้าของกระทู้
หน้า:
หน้า
จาก
แชร์ :
โปรดศึกษาและยอมรับนโยบายข้อมูลส่วนบุคคลก่อนเริ่มใช้งาน
อ่านเพิ่มเติมได้ที่นี่
ยอมรับ
หลานฝากมาถามคะ ทำไม่ได้ ช่วยอธิบายด้วยคะ