หน้าแรก
คอมมูนิตี้
ห้อง
แท็ก
คลับ
ห้อง
แก้ไขปักหมุด
ดูทั้งหมด
เกิดข้อผิดพลาดบางอย่าง
ลองใหม่
แท็ก
แก้ไขปักหมุด
ดูเพิ่มเติม
เกิดข้อผิดพลาดบางอย่าง
ลองใหม่
{room_name}
{name}
{description}
กิจกรรม
แลกพอยต์
อื่นๆ
ตั้งกระทู้
เข้าสู่ระบบ / สมัครสมาชิก
เว็บไซต์ในเครือ
Bloggang
Pantown
PantipMarket
Maggang
ติดตามพันทิป
ดาวน์โหลดได้แล้ววันนี้
เกี่ยวกับเรา
กฎ กติกา และมารยาท
คำแนะนำการโพสต์แสดงความเห็น
นโยบายเกี่ยวกับข้อมูลส่วนบุคคล
สิทธิ์การใช้งานของสมาชิก
ติดต่อทีมงาน Pantip
ติดต่อลงโฆษณา
ร่วมงานกับ Pantip
Download App Pantip
Pantip Certified Developer
ปัญหาการอินทิเกรต
กระทู้คำถาม
คณิตศาสตร์
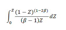
จะหาค่าอินทิเกรต Z นี้ควรเริ่มยังไงครับ ค่าเบต้าเป็นค่าคงที่
▼
กำลังโหลดข้อมูล...
▼
แสดงความคิดเห็น
กระทู้ที่คุณอาจสนใจ
ถามเรื่องโมเมนตัม
จากสมการ dp = F dt ถ้าผมต้องการจะหา การเปลี่ยนแปลงของโมเมนตัม ผมต้องอินทิเกรต F เทียบเวลา แล้วผมดึง F ออกมาได้เลยไหมครับ มันคงที่ไหม แล้วอินทิเกรตแค่ dt
สมาชิกหมายเลข 3461345
ค่าคงที่ C ที่เราอินทิเกรตได้มาจากไหนครับ แล้วทำไมต้องเขียนด้วย
ผมสงสัยครับหลังจากที่เราอินทิเกรตเสร็จแล้วทำไมต้อง +C ไว้ท้ายด้วยครับ อยากทราบแบบละเอียดเลยครับ ลองโหลด pdf มาอ่านก็ไม่เข้าใจครับ บอกเป็นค่าคงที่ ที่ต้องใส่เสมอแต่ไม่ได้บอกที่มาที่ไปว่ามาได้ยังไงครับ
เล่นทุกคู่ ดูทุกค่า
แคลคูลัส อินทิเกรท0ได้อะไร
สอบถามค่ะ อินทิเกรท0 ได้อะไรคะ ได้ค่าคงที่(C)รึเปล่า
สมาชิกหมายเลข 6469658
ทำไมหลายๆคนถึงชอบพูดว่า บัญชี เรียนง่ายกว่า วิศวะ ด้วยเหตุผลที่ว่าบัญชีมีแค่ บวก ลบ คูณ หาร (แคล สถิติก็แค่นิดๆ)
คือวันนี้มีคนบอกว่า แคลคูลัส เคมี ฟิสิกส์ ยากอะชอบคำนวณนะแต่ไม่ชอบพวก ดิฟ อินทิเกรต เรขาคณตวิเคราะห์แบบนี้เลย ไปเรียนบัญชีดีกว่ามีแค่ บวก ลบ คูณ หาร ง่ายๆได้ยินพวกวิศวะพูดแบบนี้กันหลายคนและ แต่เคยคุ
สมาชิกหมายเลข 8401569
อินทิเกรตข้อนี้ทำยังไงครับ?
http://pic.free.in.th/id/6fff3518ce51bbdf6040262b8676cb7e อันนี้อะครับ ขอขอบคุณล่วงหน้า
สมาชิกหมายเลข 964205
อยากรู้เรื่องราวที่เกี่ยวข้องกับOmegaverseค่ะ
คือตอนนี้เรากำลังแต่งนิยายที่เกี่ยวกับไทม์ไลน์omegaverse ซึ่งกำหนดให้ตัวนายเอกเป็นเบต้าแต่กำเนิด และพระเอกเป็นอินิกม่า เราอยากรู้ว่านอกจากอินิกม่าจะทำให้อัลฟ่าเป็นโอเมก้าได้ แล้วสามารถทำให้เบต้าเป็นโอ
สมาชิกหมายเลข 8460450
ผมขึ้นม.6แล้วผมอยากไปสายวิศวะไฟฟ้าต้องเตรียมตัวยังไงครับ
ผมอยากเข้าวิศวะไฟฟ้ามากเลยครับแต่ต่อนนี้ผมตันมากเลยครับเรียนคณิตศาสตร์ยังไงก็ไม่เข้าหัวอะครับผมอยากเข้ามหาวิทยาลัยธรรมศาสตร์สาขาวิศวะไฟฟ้ามากอะครับผมอยากรู้ว่าต้องเตรียมตัวยังไงหรอครับผมเรียนตอนนี้เริ
สมาชิกหมายเลข 7792492
ช่วยบอกวิธีทำโจทย์ปัญหาคณิตศาาตร์ข้อนี้หน่อยค่ะ
อยากทราบวิธีทำและคำตอบของโจทย์ข้อนี้ค่ะ ส้มขี่จักรยานจากหมู่บ้านเอไปหมู่บ้านบี ด้วยความเร็วคงที่ ใช้เวลาทั้งสิ้น 4 ชั่วโมง ขากลับส้มกลับทางเดิม แต่เพิ่มความเร็วขึ
สมาชิกหมายเลข 8658946
ม.ปลายควรเตรียมตัวยังไงครับ
สวัสดีครับผมเป็นเด็กม.3 ที่เกรดไม่ค่อยดี ตอนนี้กำลังจะขึ้นม.ปลาย อยากลองเปลี่ยนแปลงตัวเองกลายเป็นคนที่เรียนเก่ง ควรหาหนังสืออะไรมาอ่านครับ พวก ชีววิทยา คณิตศาสตร์ หรืออื่นๆ แนะนำหน่อยครับ หรือแนะนำพวก
สมาชิกหมายเลข 7582001
ปริพันธ์ไม่ตรงแบบ (Improper Integral)
ปริพันธ์ไม่ตรงแบบ คือการหาปริพันธ์ที่มีเงื่อนไขพิเศษแตกต่างจากปริพันธ์ปกติ โดยทั่วไปแล้ว ปริพันธ์ไม่ตรงแบบจะเกี่ยวข้องกับการหาพื้นที่ใต้กราฟที่ขยายออกไปไม่มีที่สิ้นสุด หรือมีจุดที่ฟังก์ชันไม่ต่อเนื่อง
MidoriWizard24
อ่านกระทู้อื่นที่พูดคุยเกี่ยวกับ
คณิตศาสตร์
บนสุด
ล่างสุด
อ่านเฉพาะข้อความเจ้าของกระทู้
หน้า:
หน้า
จาก
แชร์ :
โปรดศึกษาและยอมรับนโยบายข้อมูลส่วนบุคคลก่อนเริ่มใช้งาน
อ่านเพิ่มเติมได้ที่นี่
ยอมรับ
ปัญหาการอินทิเกรต
จะหาค่าอินทิเกรต Z นี้ควรเริ่มยังไงครับ ค่าเบต้าเป็นค่าคงที่