
—สมการแก้ไขอดีต: ต้องบอกก่อนว่าการย้อนเวลาในความคิดของผมไม่ได้เหมือนแบบในหนังไซไฟเป๊ะๆแต่ผมมองว่าการแก้ไขอดีตเหมือนกับ 'เราเอา ลิควิคมาลบรอยปากกาซึ่งจริงๆรอยปากกาก็ไม่หายไปไหนแค่โดนบังไว้เฉยๆ' พอจะเห็นภาพนะครับ
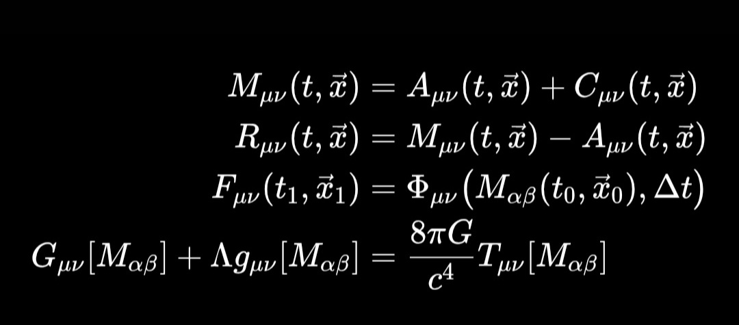
อธิบายว่าสมการบอกอะไร: ผมจะอธิบายทีละบรรทัด(บ.1 - บ.4)นะครับ
บ.1 :M คือ ผลลัพท์
:A คือ อดีตจริง/ดั้งเดิม
:C คือ ปัจจัยแก้ไข
t , เวกX ) บอกเวลานั้นและพิกัดนั้น
มันบอกว่าผลลัพท์(M)เกิดจากปัจจัยแก้ไข(C)ไปแก้ไข/บวกกับอดีตจริง(A) ณ เวลานั้นพิกัดนั้นครับ
บ.2 :R คือ สิ่งที่ถูกแก้ไข/เปลี่ยนไป
:เกิดจากการเอา(M) ลบกับ (A) จึงเห็นสิ่งที่ถูกแก้ไขหรือเปลี่ยนไปจากอดีตเดิมเช่นปกติเพื่อนต้องสะดุดหินลมตรงนี้แต่เราเอาหินออกทำให้เพื่อนไม่สะดุด ดังนั้นสิ่งที่ถูกแก้ไข(R)ก็คือเพื่อนไม่สะดุดแทนที่จะสะดุดหินจนล้มครับ
บ.3 :F(t1 , เวกX1)คือปลายทางของผลลัพท์ในอนาคตที่มาจากMอาวฟ่าเบต้า(t0 , เวกX0)ผลลัพท์ต้นทาง
:F คือ ผลลัพท์ในอนาคต
:Ф คือ กฏเกณฑ์ของจักวาล/กาลอวกาศ
:เดลต้าt คือ ระยะเวลาในการส่งผลกระทบจากM(t0 , เวกX0) ไปถึง F(t1 , เวกX1) คือ(M)จะส่งผลกระทบผ่าน ฟาย(Ф)และประมวลผลว่าการแก้ไขนี้ส่งผลกระทบต่อจักวาลยังไงบ้างจนกลายเป็นผลลัพท์(F)เมื่อเวลาผ่านไปครับเช่นถ้าไม่มีหินก้อนนั้นเพื่อนให้สะดุดหินล้มแล้วเพื่อนก็เดินต่อได้สะดวกแทนที่จะสะดุดอากาศ
บ.4 :บรรทัดนี้ผมใช้สมการสนามของอัลเบิร์ตไอน์สไตน์โดยเพิ่ม แลมด้าg คือสสารมืด/พลังงานที่ต้องใช้โค้งงอกาลอวกาศ ส่วนgก็บอกว่าความโค้งงอตรงจุดนั้นเวลานั้นเป็นยังไงครับ :Gมิวนิว คือ ความโค้งของกาลอวกาศ
:T คือ ปริมาณของสสาร/มวลและพลังงานบริเวณนั้นเช่น ก้อนหิน ตัวเรา วัตถุต่างๆ
:G คือ ค่าคงที่ของความโค้ง/โน้มถ่วง
:c คือ ความเร็วของแสง
:8พายG_c^4 คือ ค่าคงที่ของความโค้งกับมวลและพลังงาน
บรรทัดนี้มันบอกเราว่ากาลอวกาศจะปรับตัวเองให้เข้ากับอดีตที่ถูกแก้ไขอย่างแนบเนียบเช่นถ้าไม่มีก้อนหินตรงนั้นก็ไม่ควรมีมวลของหินตรงนั้น และถ้าเราเอาหินไปวางตรงอื่นตรงนั้นในอณาคตจะมีมวลของก้อนหินจริงๆครับ
—ถ้าผมอธิบายสมการสนามของไอน์สไตน์ผิดตรงไหนขออภัยนะครับ
—สมการแก้ไขอดีตแนวคิดของผม (ยังไม่ได้รับรองอย่างเป็นทางการจริงๆ)
—สมการแก้ไขอดีต: ต้องบอกก่อนว่าการย้อนเวลาในความคิดของผมไม่ได้เหมือนแบบในหนังไซไฟเป๊ะๆแต่ผมมองว่าการแก้ไขอดีตเหมือนกับ 'เราเอา ลิควิคมาลบรอยปากกาซึ่งจริงๆรอยปากกาก็ไม่หายไปไหนแค่โดนบังไว้เฉยๆ' พอจะเห็นภาพนะครับ
อธิบายว่าสมการบอกอะไร: ผมจะอธิบายทีละบรรทัด(บ.1 - บ.4)นะครับ
บ.1 :M คือ ผลลัพท์
:A คือ อดีตจริง/ดั้งเดิม
:C คือ ปัจจัยแก้ไข
t , เวกX ) บอกเวลานั้นและพิกัดนั้น
มันบอกว่าผลลัพท์(M)เกิดจากปัจจัยแก้ไข(C)ไปแก้ไข/บวกกับอดีตจริง(A) ณ เวลานั้นพิกัดนั้นครับ
บ.2 :R คือ สิ่งที่ถูกแก้ไข/เปลี่ยนไป
:เกิดจากการเอา(M) ลบกับ (A) จึงเห็นสิ่งที่ถูกแก้ไขหรือเปลี่ยนไปจากอดีตเดิมเช่นปกติเพื่อนต้องสะดุดหินลมตรงนี้แต่เราเอาหินออกทำให้เพื่อนไม่สะดุด ดังนั้นสิ่งที่ถูกแก้ไข(R)ก็คือเพื่อนไม่สะดุดแทนที่จะสะดุดหินจนล้มครับ
บ.3 :F(t1 , เวกX1)คือปลายทางของผลลัพท์ในอนาคตที่มาจากMอาวฟ่าเบต้า(t0 , เวกX0)ผลลัพท์ต้นทาง
:F คือ ผลลัพท์ในอนาคต
:Ф คือ กฏเกณฑ์ของจักวาล/กาลอวกาศ
:เดลต้าt คือ ระยะเวลาในการส่งผลกระทบจากM(t0 , เวกX0) ไปถึง F(t1 , เวกX1) คือ(M)จะส่งผลกระทบผ่าน ฟาย(Ф)และประมวลผลว่าการแก้ไขนี้ส่งผลกระทบต่อจักวาลยังไงบ้างจนกลายเป็นผลลัพท์(F)เมื่อเวลาผ่านไปครับเช่นถ้าไม่มีหินก้อนนั้นเพื่อนให้สะดุดหินล้มแล้วเพื่อนก็เดินต่อได้สะดวกแทนที่จะสะดุดอากาศ
บ.4 :บรรทัดนี้ผมใช้สมการสนามของอัลเบิร์ตไอน์สไตน์โดยเพิ่ม แลมด้าg คือสสารมืด/พลังงานที่ต้องใช้โค้งงอกาลอวกาศ ส่วนgก็บอกว่าความโค้งงอตรงจุดนั้นเวลานั้นเป็นยังไงครับ :Gมิวนิว คือ ความโค้งของกาลอวกาศ
:T คือ ปริมาณของสสาร/มวลและพลังงานบริเวณนั้นเช่น ก้อนหิน ตัวเรา วัตถุต่างๆ
:G คือ ค่าคงที่ของความโค้ง/โน้มถ่วง
:c คือ ความเร็วของแสง
:8พายG_c^4 คือ ค่าคงที่ของความโค้งกับมวลและพลังงาน
บรรทัดนี้มันบอกเราว่ากาลอวกาศจะปรับตัวเองให้เข้ากับอดีตที่ถูกแก้ไขอย่างแนบเนียบเช่นถ้าไม่มีก้อนหินตรงนั้นก็ไม่ควรมีมวลของหินตรงนั้น และถ้าเราเอาหินไปวางตรงอื่นตรงนั้นในอณาคตจะมีมวลของก้อนหินจริงๆครับ
—ถ้าผมอธิบายสมการสนามของไอน์สไตน์ผิดตรงไหนขออภัยนะครับ