หน้าแรก
คอมมูนิตี้
ห้อง
แท็ก
คลับ
ห้อง
แก้ไขปักหมุด
ดูทั้งหมด
เกิดข้อผิดพลาดบางอย่าง
ลองใหม่
แท็ก
แก้ไขปักหมุด
ดูเพิ่มเติม
เกิดข้อผิดพลาดบางอย่าง
ลองใหม่
{room_name}
{name}
{description}
กิจกรรม
แลกพอยต์
อื่นๆ
ตั้งกระทู้
เข้าสู่ระบบ / สมัครสมาชิก
เว็บไซต์ในเครือ
Bloggang
Pantown
PantipMarket
Maggang
ติดตามพันทิป
ดาวน์โหลดได้แล้ววันนี้
เกี่ยวกับเรา
กฎ กติกา และมารยาท
คำแนะนำการโพสต์แสดงความเห็น
นโยบายเกี่ยวกับข้อมูลส่วนบุคคล
สิทธิ์การใช้งานของสมาชิก
ติดต่อทีมงาน Pantip
ติดต่อลงโฆษณา
ร่วมงานกับ Pantip
Download App Pantip
Pantip Certified Developer
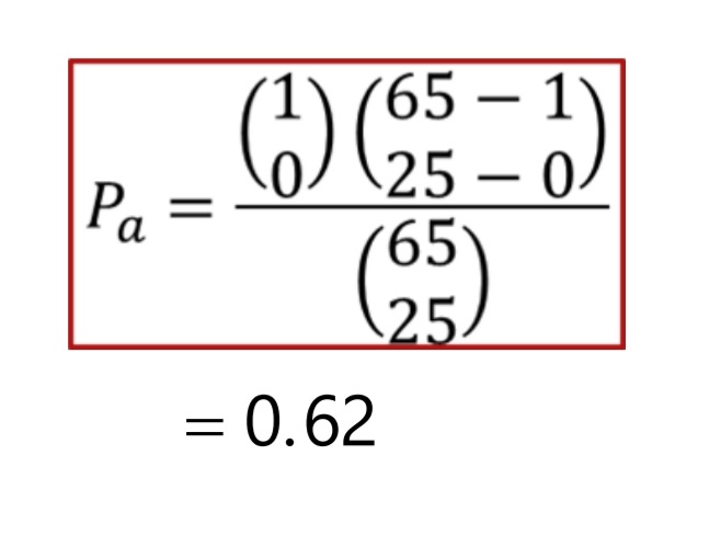
กดเครื่องคิดเลขยังไงให้เป็นสูตรแบบนี้
กระทู้คำถาม
คณิตศาสตร์
สมการ (คณิตศาสตร์)
เครื่องคิดเลข
CASIO
ผมต้องกดเครื่องคิดเลขยังไงให้สูตรขึ้นเป็นแบบรูปที่ 2
เครื่องคิดเลขรุ่น Casio fx350ES PLUS
▼
กำลังโหลดข้อมูล...
▼
แสดงความคิดเห็น
กระทู้ที่คุณอาจสนใจ
เครื่องคิดเลขวิทยาศาสตร์สัญลักษณ์=หาไม่เจอ
Casio fx-350ES plus ไม่มี=หรอครับ แก่สมการไม่ได้
สมาชิกหมายเลข 5560269
ช่วยหาวิธีทำ/วิธีคิดให้หน่อยค่ะ 😭😭🙏🙏
ช่วยหาวิธีทำ/วิธีคิเข้อนี้หน่อยค่ะ ขอบคุณมากๆค่ะ
สมาชิกหมายเลข 8860926
ทฤษฎีใหม่ชี้! ตีความสมการไอน์สไตน์แบบใหม่ อาจเผยสิ่งที่อยู่ "ก่อนบิ๊กแบง" ด้วยแนวคิด Big Bounce ใน Loop Quantum Cosmo
แม้ว่าทฤษฎีสัมพัทธภาพทั่วไป (General Relativity) ของไอน์สไตน์จะประสบความสำเร็จในการอธิบายจักรวาลขนาดใหญ่ แต่ทฤษฎีนี้กลับล้มเหลวที่จุดกำเนิดของเอกภพ (The Big Bang) เพราะมันทำนายถึง "ภาวะเอกฐาน&quo
The Whisperer
ในทางคณิตศาสตร์ ขนาดมิติสามารถติดลบได้ไหมครับ
ผมพอรู้อยู่ว่าขนาดมิติสามารถเป็นเลขทศนิยมได้ ซึ่งมันก็มาจาก Fractal dimension โดยใช้สมการ -D = log N / log ε โดยที่ D คือขนาดมิติ N คือ จำนวนครั้งที่แบ่งได้ และ ε คือ อัตราส่วนระหว่างข
Perinetus
สูตรนี้มีวิธีพิสูจน์ทางคณิตศาสตร์ หรือที่มาอย่างไรคะ
และถ้ามีจำนวนประชากรลักษณะแบบนี้ จะสามารถคาดการณ์จำนวนประชากรในปีต่อๆ ไป โดยใช้สูตรนี้ได้หรือไม่ อย่างไร หากไม่ได้ควรใช้วิธีไหนในการคาดการณ์ถึงจะเหมาะสมและเป็นวิธีการที่ไม่ยากเกินไปสำหรับนักเรียน ม.ปล
สมาชิกหมายเลข 2058586
คณิต สอวน. ออกอะไรบ้าง
การสอบค่าย สอวน. คณิตศาสตร์ เน้นวัด “การคิดวิเคราะห์เชิงลึก” มากกว่าการท่องจำสูตร สรุปหมวดเนื้อหาที่มักเจอบ่อย + แนวเตรียมตัวที่ช่วยให้ฝึกได้อย่างเป็นระบบ • เลขคณิต (Number
สมาชิกหมายเลข 9012179
คณิตศาสตร์ หลักการนับเบื้องต้น
ให้นักเรียนคนหนึ่งเลือกทำข้อสอบหนึ่งข้อจากห้าข้อแต่ละข้อมีสี่ตัวเลือกจงหาว่านักเรียนคนนี้จะมีวิธีทำข้อสอบดังกล่าวได้ทั้งหมดกี่วิธี ข้อนี้ทำยังไงคะ
สมาชิกหมายเลข 7847927
ไปบางปู เห็นภูเขาฝั่งชลบุรี แล้วเห็นตึกแท่งขาว ๆ เรียงกันด้วย มันมองไปได้ไกลขนาดนั้นเลยเหรอครับ
ช่วงตุลา ปีก่อน ไปบางปูครับ เดินอยู่บนสะพาน หันหน้าไปทางชลบุรี เห็นภูเขายาว ๆ อยู่ไกล ๆ กับเกาะไกล ๆ ก็รู้ว่าฝั่่งชลบุรี แต่เพ่งดูดี ๆ ด้วยตาเปล่านะครับ ขอบอกว่าไม่ได้ใช้กล่องส่อง หรือกล้องซูมเ
สมาชิกหมายเลข 6652492
สมัยประมาณ 2490-2510 จำไม่ได้ว่าปีไหน มีคนรู้จักเล่าให้ฟังว่าเคยเห็นดาวหางใกล้โรค ไม่ใช่ดาวฮันเล่ นะคะ ดาวนั้นมีท่านใด
สมัยประมาณ 2490-2510 จำไม่ได้ว่าปีไหน มีคนรู้จักเล่าให้ฟังว่าเคยเห็นดาวหางใกล้โรค คาดผ่านประเทศใไทย มันมีขนาดใหญ่มากๆอยู่นานมาก ไม่ใช่ดาวฮันเล่ นะคะ ดาวนั้นใหญ่มาก ๆถ้าตกใส่โลกอาจจะมีคนตายมากมา
สมาชิกหมายเลข 7995213
พอมีใครรู้บ้างครับว่านี้คือรูปสไลด์ถาวรของอะไร พอดีผมส่องไว้นานแล้ว แล้วลืมครับ
สมาชิกหมายเลข 7995077
อ่านกระทู้อื่นที่พูดคุยเกี่ยวกับ
คณิตศาสตร์
สมการ (คณิตศาสตร์)
เครื่องคิดเลข
CASIO
บนสุด
ล่างสุด
อ่านเฉพาะข้อความเจ้าของกระทู้
หน้า:
หน้า
จาก
แชร์ :
โปรดศึกษาและยอมรับนโยบายข้อมูลส่วนบุคคลก่อนเริ่มใช้งาน
อ่านเพิ่มเติมได้ที่นี่
ยอมรับ
กดเครื่องคิดเลขยังไงให้เป็นสูตรแบบนี้
ผมต้องกดเครื่องคิดเลขยังไงให้สูตรขึ้นเป็นแบบรูปที่ 2
เครื่องคิดเลขรุ่น Casio fx350ES PLUS