หน้าแรก
คอมมูนิตี้
ห้อง
แท็ก
คลับ
ห้อง
แก้ไขปักหมุด
ดูทั้งหมด
เกิดข้อผิดพลาดบางอย่าง
ลองใหม่
แท็ก
แก้ไขปักหมุด
ดูเพิ่มเติม
เกิดข้อผิดพลาดบางอย่าง
ลองใหม่
{room_name}
{name}
{description}
กิจกรรม
แลกพอยต์
อื่นๆ
ตั้งกระทู้
เข้าสู่ระบบ / สมัครสมาชิก
เว็บไซต์ในเครือ
Bloggang
Pantown
PantipMarket
Maggang
ติดตามพันทิป
ดาวน์โหลดได้แล้ววันนี้
เกี่ยวกับเรา
กฎ กติกา และมารยาท
คำแนะนำการโพสต์แสดงความเห็น
นโยบายเกี่ยวกับข้อมูลส่วนบุคคล
สิทธิ์การใช้งานของสมาชิก
ติดต่อทีมงาน Pantip
ติดต่อลงโฆษณา
ร่วมงานกับ Pantip
Download App Pantip
Pantip Certified Developer
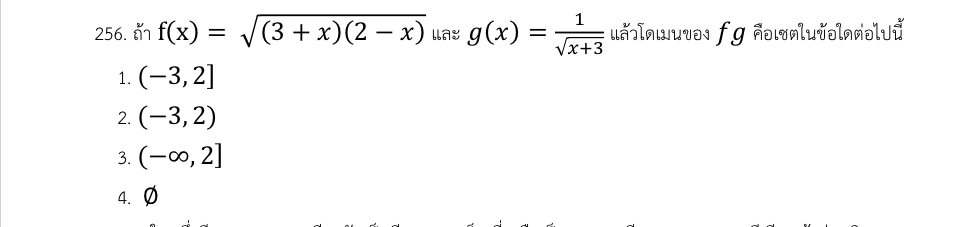
ช่วยแสดงวิธีทำให้ดูเป็นแนวทางหน่อยครับ
กระทู้คำถาม
คณิตศาสตร์
▼
กำลังโหลดข้อมูล...
▼
แสดงความคิดเห็น
กระทู้ที่คุณอาจสนใจ
5 สถานการณ์จำลอง & แนวทางตอบแบบมืออาชีพ
5 สถานการณ์จำลอง & แนวทางตอบแบบมืออาชีพ 1. ญาติขอให้ปิดบังผลมะเร็งระยะสุดท้าย แนวทางตอบ: ยึดหลัก Autonomy ผู้ป่วยมีสิทธิรับรู้ข้อมูลตนเอง แต่ต้องประเมินสภาพจิตใจและค่อยเป็นค่อยไป&nbs
สมาชิกหมายเลข 9192531
สอบแข่งของสมาคมคณิตศาสตร์
อยากรู้ครับว่าคืออีกประมาณ5เดือนโดยเฉลี่ยจะสอบสอวนแล้วลงคณิตถ้าติดค่าย1แต่ไม่ได้ไปค่าย2อีกประมาณสามเดือนต่อมาไปสอบของสมาคมคณิตแล้วได้20อันดับแรกได้สิทธิพิเศษในการเสนอชื่อเข้าค่าย2อันนี้ได้ไหมครับถือว่
สมาชิกหมายเลข 9201645
พยายามจัดรูปแล้วยังหาผลลัพธ์ไม่ได้ครับ ขอช่วยชี้แนะแนวทางให้หน่อย
ขอวิธีแก้โจทย์หน่อยนะครับ
ทดเวลานาทีสุดท้าย
พี่ๆคะ ช่วยชี้แนวทางอนาคตให้หนูหน่อยได้มั้ยคะ🥹🙏🏻
หนูยังไม่รู้ว่าต้องการเข้าคณะสาขาหรือมหาวิทยาลัยอะไรเลยค่ะ ลองค้นหาตัวเองพยายามไปค่ายต่างๆ ตอนนี้หนูม.6แล้ว หนูเก็บพอร์ตด้านบริหารมา3ปี ตอนนี้หนูพึ่งรู้ตัวว่าไม่ชอบด้านบริหารแล้ว หนูชอบและถนัดด้านคณ
สมาชิกหมายเลข 7012513
ข้อนี้แปลงเป็นสมการกำลังสองตัวแปรเดียวได้มั้ยคะ
หาได้แค่เป็นสมการสองตัวแปรค่ะ รบกวนชี้แนะแนวทางด้วยนะคะ ขอบคุณค่ะ
สมาชิกหมายเลข 2058586
การพิสูจน์เอกลักษณ์ครับ
สวัสดีครับ 🙏🏻 ผมขออนุญาตถามแนวทางการพิสูจน์ข้อนี้ด้วยนะครับ😂 ถ้า a,b € R โดยที่ a<b+c สำหรับทุก c>0 แล้ว a<=b ขออนุญาตรบกวนนะครับ😂🙏🏻
สมาชิกหมายเลข 4201286
จบ ป.ตรี ด้านอุตสากรรม อยากเป็นครูคณิตศาสตร์
เราเรียนจบ ป.ตรี ครุศาสตร์อุตสาหกรรม (แต่ไม่ใช่วุฒิครู) อยากเป็นครูคณิตศาสตร์ พอจะมีแนวทางแนะนำบ้างไหมคะ หรือคนที่เป็นแบบเดียวกับเราขอติดต่อไปได้ไหมคะ
สมาชิกหมายเลข 6471651
ขอแนวทางหน่อยครับ 3Cos15°Cos45° งงมาก
ตามหัวข้อเลยคับ
สมาชิกหมายเลข 6051342
ทำไมคณิตศาสตร์ม.3ถึงเขียนเยอะกว่าภาษาไทย
ตามหัวข้อเลยนะค้าบพี่ ผมแค่อยากรู้ว่าทำไมรรผมวิชาคณิตศาสตร์ถึงเขียนเยอะกว่าวิชาภาษาไทย แต่ให้คณิตศาสตร์จะมีบทเยอะกว่าภาษาไทยแค่1-2บท แต่ถ้ารวมๆปแล้วคณิตศาสตร์ไม่ควรจะเขียนมากกว่าภาษาไทยใช่ไหมละ ผมอยาก
สมาชิกหมายเลข 7982755
คิดโครงงานคณิตศาสตร์ไม่ออก
คือต้องทำโครงงานคณิตศาสตร์ค่ะ แต่คิดไม่ออกเลย ใครมีไอเดียดีๆบ้างมั้ยคะ ขอเป็นแนวทางหน่อยค่ะ
สมาชิกหมายเลข 3640861
อ่านกระทู้อื่นที่พูดคุยเกี่ยวกับ
คณิตศาสตร์
บนสุด
ล่างสุด
อ่านเฉพาะข้อความเจ้าของกระทู้
หน้า:
หน้า
จาก
แชร์ :
โปรดศึกษาและยอมรับนโยบายข้อมูลส่วนบุคคลก่อนเริ่มใช้งาน
อ่านเพิ่มเติมได้ที่นี่
ยอมรับ
ช่วยแสดงวิธีทำให้ดูเป็นแนวทางหน่อยครับ