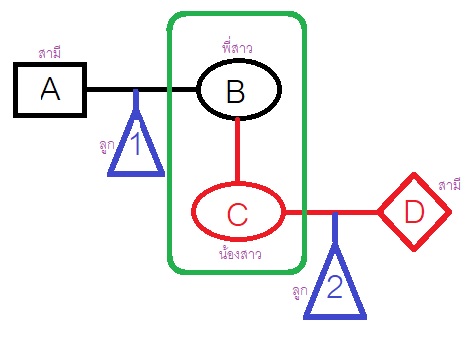
ตามรูป B กับ C เป็นพี่น้องกัน
B เป็นพี่สาว C เป็นน้องสาว แล้ว ทั้งคู่ก็แต่งงาน
B แต่งงานกับ A .......Aมีศักดิ์เป็นเขยใหญ่
C แต่งงานกับ D ........Dมีศักดิ์เป็นเขยเล็ก
และทั้ง2ครอบครัวมีบุตร
A กับ B มีลูก คือ หมายเลข 1
D กับ C มีลูก คือ หมายเลข 2
คือ ถ้า BC มีพี่ชายคนโตอีกคน แล้วลูกๆ ของพี่ชายคนโตสุด เรียก A และ D ว่า อาเตี๋ย
คำถามคือ จะเรียกกันในภาษาแต้จิ๋วว่าอย่างไรครับ
ลูก 1 จะเรียก D ว่าอะไรครับ ?
ลูก 2 จะเรียก A ว่าอะไรครับ ?
สอบถามคำเรียกสรพนามในภาษาจีนน่ะครับ....
B เป็นพี่สาว C เป็นน้องสาว แล้ว ทั้งคู่ก็แต่งงาน
B แต่งงานกับ A .......Aมีศักดิ์เป็นเขยใหญ่
C แต่งงานกับ D ........Dมีศักดิ์เป็นเขยเล็ก
และทั้ง2ครอบครัวมีบุตร
A กับ B มีลูก คือ หมายเลข 1
D กับ C มีลูก คือ หมายเลข 2
คือ ถ้า BC มีพี่ชายคนโตอีกคน แล้วลูกๆ ของพี่ชายคนโตสุด เรียก A และ D ว่า อาเตี๋ย
คำถามคือ จะเรียกกันในภาษาแต้จิ๋วว่าอย่างไรครับ
ลูก 1 จะเรียก D ว่าอะไรครับ ?
ลูก 2 จะเรียก A ว่าอะไรครับ ?