หน้าแรก
คอมมูนิตี้
ห้อง
แท็ก
คลับ
ห้อง
แก้ไขปักหมุด
ดูทั้งหมด
เกิดข้อผิดพลาดบางอย่าง
ลองใหม่
แท็ก
แก้ไขปักหมุด
ดูเพิ่มเติม
เกิดข้อผิดพลาดบางอย่าง
ลองใหม่
{room_name}
{name}
{description}
กิจกรรม
แลกพอยต์
อื่นๆ
ตั้งกระทู้
เข้าสู่ระบบ / สมัครสมาชิก
เว็บไซต์ในเครือ
Bloggang
Pantown
PantipMarket
Maggang
ติดตามพันทิป
ดาวน์โหลดได้แล้ววันนี้
เกี่ยวกับเรา
กฎ กติกา และมารยาท
คำแนะนำการโพสต์แสดงความเห็น
นโยบายเกี่ยวกับข้อมูลส่วนบุคคล
สิทธิ์การใช้งานของสมาชิก
ติดต่อทีมงาน Pantip
ติดต่อลงโฆษณา
ร่วมงานกับ Pantip
Download App Pantip
Pantip Certified Developer
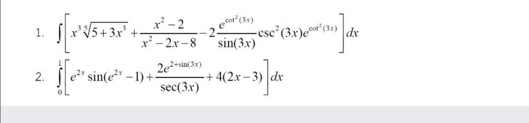
ช่วยคณิตข้อนี้หน่อยค่ะ 🥺🥺
กระทู้คำถาม
วิชาการ
คณิตศาสตร์
ช่วยแสดงวิธีทำข้อที่1ให้ดูหน่อยค่ะ ใครทำได้ โปรดชี้แนะด้วย เริ่มไม่ถูกค่ะ55
▼
กำลังโหลดข้อมูล...
▼
แสดงความคิดเห็น
กระทู้ที่คุณอาจสนใจ
เด็กเรียนรู้ช้า เนื่องจากสมาธิสั้น เรียน จินตคณิต หรือเรียนคณิตศาสตร์เบื้องต้นดีคะ
หลานอายุ เกือบ 8 ขวบ มีภาวะสมาธิสั้น เรียนรู้ช้าในเรื่องของวิชาการ สอนหลายรอบมากๆ แต่ถ้าเป็นเรื่องการใช้คอมพิวเตอร์ จะสามารถเรียนรู้ได้เร็วมาก ทั้งที่ไม่ได้สอน แค่เขาเห็นเรฝผู้ใหญ่ทำก็จำได้เลย ปัจจุบั
Pavigo
ได้โปรดช่วยสอนคณิตข้อนี้ให้หน่อยค่ะ
ผลบวกของจำนวนสี่หลักจำนวนหนึ่งกับเลขโดดทั้งสี่ตัวของมันเท่ากับ2005จงหาว่าจำนวนสี่หลักจำนวนนี้มีค่าเท่าใด
สมาชิกหมายเลข 3305002
เหตุผล เหมือน/ต่างกัน ประการใด? ผู้รู้ชี้แนะ เป็นพุทธบูชา
ตามภาพ 2 ภาพ มีความต่างกัน ฯ 😳 ข้อความที่มีเส้นใต้สีแดง 😳 ภาพแรก เกิดก่อน ภาพหลัง สมาชิกท่านใดมีข้อมูล เหตุปัจจัย ที่ ต่างกัน ชี้แนะ เป็นข้อมูลทางวิชาการ ตามประเด็น ถ้าไม่มี ข้อมูล รออ่าน คคห ที่
เซนเถรวาทปฐมสังคายนานิยม
วิชาการคิดเเละการตัดสินใจ คือวิชาอะไรกันเเน่ครับ ???
คือผมเลือกลงทะเบียนเรียนวิชานี้ไปเเล้ว วิชาการคิดเเละการตัดสินใจ อยู่ในหมวดวิทยาศาสตร์เเละคณิตศาสตร์ ตอนเเรกที่ผมเลือกลงวิชานี้เพราะคิดว่าเป็นวิชาเกี่ยวกับพวกจิตวิทยาซะอีก เเต่พอมาดูอีกทีอยู่ในหมวด
สมาชิกหมายเลข 997260
ลำดับและอนุกรมยากมากไหมควรเริ่มจากอะไร
ผมกำลังจะขึ้นม.6 แล้วเทอม1ได้เรียนเรื่องลำดับและอนุกรมครูบอกว่าเรียนล่วงหน้ามาไว้ด้วยมันยากสำหรับผมเพราะผมไม่เก่งคณิต ผมเลยอยากถามว่าผมควรที่จะเรียนยังไงบ้างในยูทูปผมดูแล้วก็ไม่เข้าใจเลยผมงง เพราะผมไม
สมาชิกหมายเลข 9034094
ติวฟรีสอวนคณิต
ผมอยากรู้ว่ามีที่ติวฟรีสอวนคณิต(ค่าย1)ไหมหรือราคาไม่แพงมาก ขอบคุณล่วงหน้าครับ
สมาชิกหมายเลข 8271258
แนะนำหนังสือ alevelคณิต1
รบกวนพี่ๆเพื่อนๆแนะนำหนังสือalevelคณิต1หน่อยค่ะ หนูอยากได้แบบที่ไม่เป็นสรุปอะค่ะ เพราะว่าถ้าเป็นสรุปหนูจะอ่านไม่ค่อยเข้าใจ
สมาชิกหมายเลข 9104769
หาสนามแข่ง คณิต/ชีวะ
พอดีผม ม.ต้น วางแผนหาสนามแข่งตอนนี้และ ม.ปลายครับ 1ผมอยากรู้ว่าชีวะมันมีสนามแข่ง อื่นนอกจาก สอวน ijso ไหม 2ผมเคยเห็นหลายมหาลัยมีจัดแข่ง อยากรู้ว่ามีที่ไหนจัดแข่งบ้าง 3อยากรู้ว่าถ้าไปแข่งโครงงานกับไปส
สมาชิกหมายเลข 9306796
สมัครสอบ วมว
สวัสดีค่าอยากทราบว่าใครเคยมีปสกไปสอบวมวแล้วคะแนนวิชานึงต่ำกว่าเกณฑ์ไหมคะ ? ส่วนตัวเราจะไปสอบวมวมชค่ะ แต่วิชาวิทยาศาสตร์ได้ 3.53 แต่วิชาคณิตได้ 2.81 ค่ะ อันนี้aiรวมให้ค่ะ gpaxเราเกิน3 ค่ะ แต่มันติดแค่
สมาชิกหมายเลข 9300208
อ่านกระทู้อื่นที่พูดคุยเกี่ยวกับ
วิชาการ
คณิตศาสตร์
บนสุด
ล่างสุด
อ่านเฉพาะข้อความเจ้าของกระทู้
หน้า:
หน้า
จาก
แชร์ :
โปรดศึกษาและยอมรับนโยบายข้อมูลส่วนบุคคลก่อนเริ่มใช้งาน
อ่านเพิ่มเติมได้ที่นี่
ยอมรับ
ช่วยคณิตข้อนี้หน่อยค่ะ 🥺🥺