หน้าแรก
คอมมูนิตี้
ห้อง
แท็ก
คลับ
ห้อง
แก้ไขปักหมุด
ดูทั้งหมด
เกิดข้อผิดพลาดบางอย่าง
ลองใหม่
แท็ก
แก้ไขปักหมุด
ดูเพิ่มเติม
เกิดข้อผิดพลาดบางอย่าง
ลองใหม่
{room_name}
{name}
{description}
กิจกรรม
แลกพอยต์
อื่นๆ
ตั้งกระทู้
Pantip MALL
เข้าสู่ระบบ / สมัครสมาชิก
เว็บไซต์ในเครือ
Bloggang
Pantown
PantipMarket
Maggang
ติดตามพันทิป
ดาวน์โหลดได้แล้ววันนี้
เกี่ยวกับเรา
กฎ กติกา และมารยาท
คำแนะนำการโพสต์แสดงความเห็น
นโยบายเกี่ยวกับข้อมูลส่วนบุคคล
สิทธิ์การใช้งานของสมาชิก
ติดต่อทีมงาน Pantip
ติดต่อลงโฆษณา
ร่วมงานกับ Pantip
Download App Pantip
Pantip Certified Developer
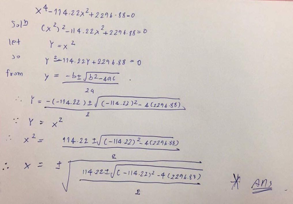
ตรวจการบ้านให้หน่อยค่ะ สมการกำลังสี่
กระทู้คำถาม
สมการ (คณิตศาสตร์)
วิทยาศาสตร์
วิศวกรรมศาสตร์
คณิตศาสตร์
พอดีเพื่อนส่งโจทย์นี้มาให้ค่ะ บอกว่าสอนพิเศษน้อง
เราก็เรียนจบมานานแล้ว เริ่มลืมๆ 555
แก้ได้แบบนี้ อยากถามว่าแก้ถูกไหม
มีวิธีแก้แบบอื่นอีกไหมคะ
ขอบคุณค่ะ
▼
กำลังโหลดข้อมูล...
▼
แสดงความคิดเห็น
กระทู้ที่คุณอาจสนใจ
มาแชร์โจทย์การบ้าน เดือน มิ.ย. ครับ
เดือนนี้ถึงคราวของ การคำนวณมวลโมเลกุล ครับ โจทย์นี้เหมาะสำหรับเด็กๆ ประถม ปลาย ป.4-ป.6 หรือ ม.ต้นที่ผ่านการเรียนรู้เรื่อง ตารางธาตุมาแล้ว นะครับ เข้าใจเรื่องเลขอะตอม มาพอสมควร ถ้าใครอยากได้ โจทย์เกี่ย
lamaka_tor
แด่คุณพ่อคุณแม่ในอนาคต ว่าด้วยเรื่องการสอบแข่งขัน/เรียนพิเศษ ที่ลูกอาจเจอในยุคปัจจุบัน จากเด็กที่พึ่งจะผ่านมันมา
สวัสดีครับ ผมสมัครเว็บบอร์ดมาเพื่อเขียนกระทู้นี้โดยเฉพาะ เนื่องจากเห็นว่าตนจะพ้นจากระบบการศึกษาในระยะเวลาอันสั้น และคงไม่ได้มาแตะกับมันอีก จะทิ้งสิ่งที่รู้ที่เจอมาก็เสียดาย จึงอยากเขียนไว้เพื่ออาจพอเป
สมาชิกหมายเลข 9300149
ช่วยครับการบ้านน้องโจทย์ปัญหาแก้สมการ2ตัวตั้งโจทย์ไม่ได้ครับ
โจทย์ มีอยู่ว่า"รูปสี่เหลี่ยมผืนผ้า ABCD ด้าน AB ยาว 3x+11 ซม. ด้าน BC ยาว 2x-1 ซม. ด้าน CD ยาว 4y+8 ซม. ด้าน DA ยาว x+y ซม. จงหาค่าของ xและy" ช่วยตั้งสมการตัวแปรสองตัวให้หน่อยครับพอดีเรียนม
สมาชิกหมายเลข 6028474
เมื่อแทนค่าสมการ จะได้สมการดังนี่ °C- คืออะไรครับสอนหน่อยครับ
โจทย์วิชาวิทยาศาสรต์ผมไม่เข้าใจอ่ะครับสอนหน่อยครับ ขอบคุณครับ
สมาชิกหมายเลข 6766438
ขอคำแนะนำการสอนสมการเด็ก ป.2 ด้วยค่ะ
เราเป็นแม่ที่ไม่ถูกกับวิชาคณิตศาสตร์ตั้งแต่เด็ก ไม่มี sense ทางคณิตศาสตร์เอาซะเลย ที่เรียนผ่านมาตอนเด็กๆก็ใช้ความจำ ไม่ใช่ความเข้าใจ พอต้องมาสอนการบ้านลูก สอนได้แค่ บวก ลบ คูณ หาร เจอเลขสมการเข้านี่ไป
ขอคิดด้วยคน
สมการเส้นสะท้อนคืออะไร? แล้ว y=x+2 คืออะไร ช่วยสอนหน่อยค่ะ
ก่อนอื่นอยากทราบก่อนเลยค่ะว่าสมการเส้นสะท้อนคืออะไร และหาได้ยังไง เพราะก่อนหน้านี้เคยไปดูตามเว็บอื่นๆมาแล้วแต่ก็ยังงงอยู่ดี แถมไปเจอโจทย์มายิ่งงงไปอีก ช่วยอธิบายให้เข้าใจง่ายๆหน่อยนะคะ ไม่รู้ว่ามันยาก
สมาชิกหมายเลข 3481153
พอรู้วิธีทำ Tabular method ของ digital logic บ้างไหมครับ
คือ ผมเรียนอิเล็กทรอนิกส์ แล้วได้โจทย์มา ที่อาจารย์สอนเค้าให้ ลดรุปสมการ ทำเป็นแบบ Karnaugh Map(แผนผังคาร์โนห์) แต่การบ้านเค้าให้ ทำแบบ Tabular method เลยไม่รู้จะทำยังไง ผมหาวิธีใน Google ก็ยัง งงๆ อ
สมาชิกหมายเลข 898164
การบ้านคณิตศาสตร์วิศวกรรมIII 2ข้อนี่ ทำยังงัยคะ
สมาชิกหมายเลข 8018273
ช่วยแก้โจทย์ปัญหาวิทย์ให้หน่อยค่ะ
การบ้านวิทย์ให้หาอุณหภูมิท้ายสุดค่ะโดยใช้สูตร q=mcdeltat ค่ะ โจทย์มีอยู่ว่า ไขมัน 3 กรัม น้ำ 100 กรัม อุณหภูมิ 10 องศาเซลเซียส จงหาอุณหภูมิท้ายสุด งงมากค่ะ ขอวิธีทำด้วยจะดีมากค่ะ ขอบคุณค่ะ
สมาชิกหมายเลข 4932765
โจทย์คณิตศาสตร์แบบนี้ ที่โรงเรียนประถมสอนกันยังไงครับ (A-X=B)
สอนการบ้านลูก ป.1 ครับ มาเป็นโจทย์ปัญหา ตีเป็นสัญลักษณ์ A-X = B, คำตอบก็ X = A-B แต่ผมสอนให้ลูกเชื่อมไปไม่ได้ครับ จะใช้วิธีย้ายข้างแบบสมการ หรือเติม x แล้วหัก B ออกทั้งสองข้าง ลูกก็ไม่เข้าใจ (ก็ควรจ
C&N
อ่านกระทู้อื่นที่พูดคุยเกี่ยวกับ
สมการ (คณิตศาสตร์)
วิทยาศาสตร์
วิศวกรรมศาสตร์
คณิตศาสตร์
บนสุด
ล่างสุด
อ่านเฉพาะข้อความเจ้าของกระทู้
หน้า:
หน้า
จาก
แชร์ :
โปรดศึกษาและยอมรับนโยบายข้อมูลส่วนบุคคลก่อนเริ่มใช้งาน
อ่านเพิ่มเติมได้ที่นี่
ยอมรับ
ตรวจการบ้านให้หน่อยค่ะ สมการกำลังสี่
เราก็เรียนจบมานานแล้ว เริ่มลืมๆ 555
แก้ได้แบบนี้ อยากถามว่าแก้ถูกไหม
มีวิธีแก้แบบอื่นอีกไหมคะ
ขอบคุณค่ะ