สวัสดีครับ
อยากได้คำแนะนำครับ
ตอนนี้กำลังศึกษางานวิจัย ต่างๆครับ อ่านไปหลาย paper แล้ว แต่ยังมีเรื่องที่ไม่เข้าใจอยู่ครับ (พยายามค้นหาในเนตแล้วยังได้ทำตอบที่ไม่เคลียครับ)
1. Technology acceptance model (TAM) เส้นต่างๆที่ลากไปมาเนี่ยครับเค้ามีหลักการอย่างไรครับ ว่าอันนี้ต้องลากไปไหนนะครับ
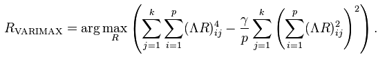
2. เรื่องการวิเคราะห์ตัวแปร (Factor analysis) เจอสูตรของ Varimax rotation แต่อยากทราบว่าตัวแปรแต่ละตัวคืออะไรหรือถ้ามีตัวอย่างให้ดูจะดีมากเลยครับ
ขอบคณครับ
Technology acceptance model & Varimax rotation
อยากได้คำแนะนำครับ
ตอนนี้กำลังศึกษางานวิจัย ต่างๆครับ อ่านไปหลาย paper แล้ว แต่ยังมีเรื่องที่ไม่เข้าใจอยู่ครับ (พยายามค้นหาในเนตแล้วยังได้ทำตอบที่ไม่เคลียครับ)
1. Technology acceptance model (TAM) เส้นต่างๆที่ลากไปมาเนี่ยครับเค้ามีหลักการอย่างไรครับ ว่าอันนี้ต้องลากไปไหนนะครับ
2. เรื่องการวิเคราะห์ตัวแปร (Factor analysis) เจอสูตรของ Varimax rotation แต่อยากทราบว่าตัวแปรแต่ละตัวคืออะไรหรือถ้ามีตัวอย่างให้ดูจะดีมากเลยครับ
ขอบคณครับ