หน้าแรก
คอมมูนิตี้
ห้อง
แท็ก
คลับ
ห้อง
แก้ไขปักหมุด
ดูทั้งหมด
เกิดข้อผิดพลาดบางอย่าง
ลองใหม่
แท็ก
แก้ไขปักหมุด
ดูเพิ่มเติม
เกิดข้อผิดพลาดบางอย่าง
ลองใหม่
{room_name}
{name}
{description}
กิจกรรม
แลกพอยต์
อื่นๆ
ตั้งกระทู้
เข้าสู่ระบบ / สมัครสมาชิก
เว็บไซต์ในเครือ
Bloggang
Pantown
PantipMarket
Maggang
ติดตามพันทิป
ดาวน์โหลดได้แล้ววันนี้
เกี่ยวกับเรา
กฎ กติกา และมารยาท
คำแนะนำการโพสต์แสดงความเห็น
นโยบายเกี่ยวกับข้อมูลส่วนบุคคล
สิทธิ์การใช้งานของสมาชิก
ติดต่อทีมงาน Pantip
ติดต่อลงโฆษณา
ร่วมงานกับ Pantip
Download App Pantip
Pantip Certified Developer
Passive income หุ้นปัผล
กระทู้สนทนา
หุ้น
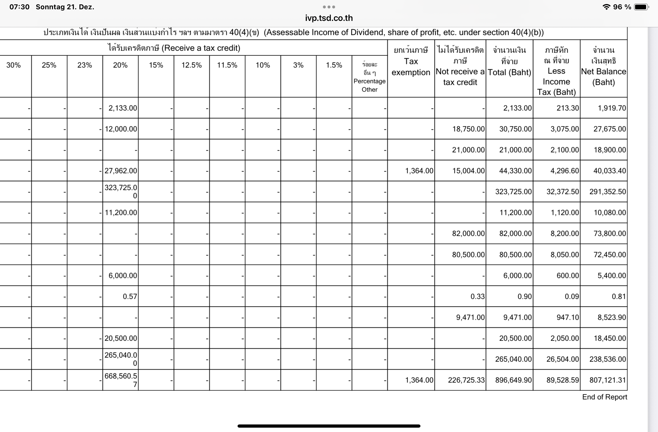
ยอดเงินปันผลปี 2025 ค่ะ ตั้งเป้าขอ 700,000 บาท แต่ได้ยอดเกินกว่าที่คาดการณ์ไว้
ปันผล 807,121.37
เครดิตภาษี ประมาณ 200,000 บาท
รวมรายได้จากปันผลหุ้นของปีนี้ ประมาณ 1,00,000บาทค่ะ
▼
กำลังโหลดข้อมูล...
▼
แสดงความคิดเห็น
กระทู้ที่คุณอาจสนใจ
เวลาไม่เคยหยุดเดิน ! อีก 10 ปีข้างหน้า เร่งปลดหนี้ เก็บออม ทำฟาร์มหุ้นปันผล สร้าง passive income เกษียณสุข
เวลาไม่เคยหยุดเดิน ! อีก 10 ปีข้างหน้า เร่งปลดหนี้ เก็บออม ทำฟาร์มหุ้นปันผล สร้าง passive income เกษียณสุขกันให้ได้นะครับ !! ----- บ้านหรู รถหรู เที่ยวหรู กินหรู ไม่ได้ช่วยให้เราสุขสบายยามเกษียณ หมดเว
ตี๋2555
เปิดโผ 10 กองทุนรวมปันผลสูง สร้าง Passive Income เสริมความมั่งคั่งให้พอร์ตระยะยาว
เปิดโผ 10 กองทุนรวมปันผลสูง สร้าง Passive Income เสริมความมั่งคั่งให้พอร์ตระยะยาว ที่มา https://www.finnomena.com/planet46/top-10-dividend-funds/
สมาชิกหมายเลข 8626505
การทำลงทุนหุ้นปันผล ในทุกปีเราจะมี "จำนวนหุ้น" ที่อยู่ในฟาร์มเราเพิ่มขึ้นเรื่อย ๆ ดักซื้อตอนลดราคา ถือไว้กินปันผล
การทำลงทุนหุ้นปันผล ในทุกปีเราจะมี "จำนวนหุ้น" ที่อยู่ในฟาร์มเราเพิ่มขึ้นเรื่อย ๆ ดักซื้อตอนลดราคา ถือไว้กินปันผลยามเกษียณ . หุ้นตก คือ โอกาส และโอกาสมักจะวนมาหาเราเสมอ เราไม่จำเป็นต้องคาดหว
ตี๋2555
ถ้าไม่ทำงานประจำ กินแต่ปันผลหุ้น ต้องยื่นภาษีมั้ยครับ?
ถ้าไม่ทำงานประจำ กินแต่ปันผลหุ้น ต้องยื่นภาษีมั้ยครับ? ถ้าได้ปันผลมาเลี้ยงชีพอย่างเดียว (passive income) ไม่มีรายรับจากงานประจำ ยังต้องยื่นภาษีเหมือนตอนเป็นมนุษย์เงินเดือนมั้ยครับ. แล
kengkoth
เจ้านายไม่จ่ายค่าแรง และรายงานรายได้ใน HMRC ถึงแค่ ตุลา 2025
สวัสดีค่ะ อยากรบกวนสอบถามค่ะ 1. ตรวจสอบดูในเพจของ HMRC พบว่าบริษัท รายงานรายได้ ถึงแค่ 31/10/2025 ค่ะ แต่ในเพจ HMRC คาดการณ์ ภาษีของเราเต็มปีค่ะ ควรทำอย่างไรดีคะ 2. ตอนนี้บริษัทไม่จ่ายค่าแรงเป็นเงิ
tourwithtar
เราจะต้องทำอะไรบ้าง ..เมื่อเราจะเป็นนักล่าปันผล..
ก่อนอื่น ขอบอกก่อน มีนักลงทุนประเภทหนึ่ง ทั้งปี ไม่ค่อยลงทุนหุ้นนิยมเก็บปันผลหุ้นเท่านั้น ซื้อมาพอขึ้นเครื่องหมาย xd เสร็จก็ขายทิ้ง จบเกมส์ของนักล่า... คุณสมบัติ 1. เสียภาษีประจำปีไม่ค่อยสูงนัก (ไม่เก
สมาชิกหมายเลข 1157226
อยากมี PASSIVE INCOME เดือนละ 100,000 ต้องลงทุนกี่บาท?
อยากมี PASSIVE INCOME เดือนละ 100,000 บาท ต้องลงทุนอะไรและลงทุนกี่บาท? 1) เงินฝาก - ดอกเบี้ยเฉลี่ยปีละ 1-2% ต้องฝากเงิน 120,000,000 บาท 2) พันธบัตรรัฐบาล - ดอกเบี้ยเฉลี่ยปีละ 2-3% ต้องซื้อ 60,000,
สมาชิกหมายเลข 7177092
🚫🚫🚫 ๙ แล้ว ๖ ๖ แล้ว ๙ ถ้าทำตามนี้ จะกระเทือนผลพลอยได้ของ PASSIVE INCOME หรือไม่
พอดี passive income หลักของข้าพเจ้ามาจากเงินปันผลหุ้น ถ้ามีการยกเว้นตามข้อเสนอในภาพประอบ I มันจะกระเทือนไปถึงเงินคืนเครดิตภาษีหรือไม่ เพราะจะได้น้อยลง แต่ไม่ต้องเสียภาษีเงินปันผล ? ถ้าขอเครดิต
endophine
เงินเดือนสามหมื่นสี่หมื่นอยากมีเงินเก็บหลักแสน อยากเที่ยวต่างประเทศทุกปี โดยไม่ต้องเบียดเบียนเงินเดือนมาก ลองดู
หัวใจสำคัญอยู่ที่ 'Asset Allocation' 10ปีแรกของการทำงาน สูตรปั้นเงินก้อน: เลือกบัญชีฝากประจำที่สู้กับเงินเฟ้อได้ดีที่สุด ตอนนี้ผมยกให้บัญชีเงินฝากปลอดภาษีที่ต้องฝากยอดเท่ากันทุกเดือน จะได้ดอกเบี้ย 2.
apotheker
ประกันบำนาญ" vs "หุ้นปันผล" เลือกทางไหนให้มีเงินใช้จนตาย?
เคยมานั่งคำนวณไหมครับว่า หลังเกษียณเราต้องมีเงินเท่าไหร่ถึงจะรอด? หลายคนบอก "ซื้อหุ้นปันผลสิพี่ รวยกว่าเยอะ" บางคนก็บอก "ทำประกันบำนาญเถอะ สบายใจกว่า" วันนี้ผมเลยขอมาแชร์มุมมองแบบค
สมาชิกหมายเลข 7177092
อ่านกระทู้อื่นที่พูดคุยเกี่ยวกับ
หุ้น
บนสุด
ล่างสุด
อ่านเฉพาะข้อความเจ้าของกระทู้
หน้า:
หน้า
จาก
แชร์ : 22
โปรดศึกษาและยอมรับนโยบายข้อมูลส่วนบุคคลก่อนเริ่มใช้งาน
อ่านเพิ่มเติมได้ที่นี่
ยอมรับ
Passive income หุ้นปัผล
ปันผล 807,121.37
เครดิตภาษี ประมาณ 200,000 บาท
รวมรายได้จากปันผลหุ้นของปีนี้ ประมาณ 1,00,000บาทค่ะ