หน้าแรก
คอมมูนิตี้
ห้อง
แท็ก
คลับ
ห้อง
แก้ไขปักหมุด
ดูทั้งหมด
เกิดข้อผิดพลาดบางอย่าง
ลองใหม่
แท็ก
แก้ไขปักหมุด
ดูเพิ่มเติม
เกิดข้อผิดพลาดบางอย่าง
ลองใหม่
{room_name}
{name}
{description}
กิจกรรม
แลกพอยต์
อื่นๆ
ตั้งกระทู้
Pantip MALL
เข้าสู่ระบบ / สมัครสมาชิก
เว็บไซต์ในเครือ
Bloggang
Pantown
PantipMarket
Maggang
ติดตามพันทิป
ดาวน์โหลดได้แล้ววันนี้
เกี่ยวกับเรา
กฎ กติกา และมารยาท
คำแนะนำการโพสต์แสดงความเห็น
นโยบายเกี่ยวกับข้อมูลส่วนบุคคล
สิทธิ์การใช้งานของสมาชิก
ติดต่อทีมงาน Pantip
ติดต่อลงโฆษณา
ร่วมงานกับ Pantip
Download App Pantip
Pantip Certified Developer
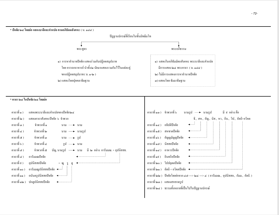
ทบทวน ปัฏฐาน 24 พระคาถา --- อจ.อาณัติชัย เหลืองอมรชัย --พระคาถาที่ 1 ใน 24 พระคาถา
กระทู้สนทนา
พระไตรปิฎก
แก้ไขข้อความเมื่อ
▼
กำลังโหลดข้อมูล...
▼
แสดงความคิดเห็น
กระทู้ที่คุณอาจสนใจ
ปริจเฉทที่ 8 -ปัฏฐาน (อ.อาณัติชัย) 15/17 พระคาถาที่ 2
sombool2012 ผู้ติดตาม 7.43 หมื่น คน Download เอกสารประกอบการศึกษา https://drive.google.com/drive/folder... ครั้งที่ 15 วันอาทิตย์ที่ 6 มิถุนายน
satanmipop
ปริจเฉทที่ 8 -ปัฏฐาน (อ.อาณัติชัย) 15/17 พระคาถาที่ 4 - 10
sombool2012 ผู้ติดตาม 7.43 หมื่น คน Download เอกสารประกอบการศึกษา https://drive.google.com/drive/folder... ครั้งที่ 15 วันอาทิตย์ที่ 6 มิถุนายน
satanmipop
ปริจเฉทที่ 8 -ปัฏฐาน (อ.อาณัติชัย) 15/17 พระคาถาที่ 3
sombool2012 ผู้ติดตาม 7.43 หมื่น คน Download เอกสารประกอบการศึกษา https://drive.google.com/drive/folder... ครั้งที่ 15 วันอาทิตย์ที่ 6 มิถุนายน
satanmipop
ปริจเฉทที่ 8 - ปัฏฐาน (อ.อาณัติชัย) 8/17 ทบทวนปัจจัยที่ 4 อนันตรปัจจัย
- แสดงปัจจัย 24 เป็น 47 และจำแนก 9 ชาติ - แสดง สหชาตชาติ 15 ปัจจัย - โดย อาจารย์ อาณัติชัย เหลืองอมรชัย ณ อภิธรรมโช
satanmipop
ปริจเฉทที่ 8 -ปัฏฐาน (อ.อาณัติชัย) 15/17 ตั้งแต่สมุดจดหน้า 221 ใน 329 หน้า
เรียนเรื่องปัฎฐาน อ่านคำบรรยายและฟังคำบรรยายจากยูตู๊บได้ที่นี่ สอนโดย อาจารย์อาณัติชัย เหลืองอมรชัยhttps://pantip.com/topic/43037736-------------------ปริจเฉทที่ 8 -ปัฏฐาน (อ.อาณัติชัย)
satanmipop
ปริจเฉทที่ 8 - ปัฏฐาน (อ.อาณัติชัย) 8/17 ทบทวนปัจจัยที่ 5 สมนันตรปัจจัย
- แสดงปัจจัย 24 เป็น 47 และจำแนก 9 ชาติ - แสดง สหชาตชาติ 15 ปัจจัย - โดย อาจารย์ อาณัติชัย เหลืองอมรชัย ณ อภิธรรมโช
satanmipop
ปริจเฉทที่ 8 - ปัฏฐาน (อ.อาณัติชัย) 8/17 ทบทวนปัจจัยที่ 12 อาเสวนปัจจัย
- แสดงปัจจัย 24 เป็น 47 และจำแนก 9 ชาติ - แสดง สหชาตชาติ 15 ปัจจัย - โดย อาจารย์ อาณัติชัย เหลืองอมรชัย ณ อภิธรรมโช
satanmipop
ปริจเฉทที่ 8 - ปัฏฐาน (อ.อาณัติชัย) 8/17 ทบทวนปัจจัยที่ 10 ปุเรชาตปัจจัย
- แสดงปัจจัย 24 เป็น 47 และจำแนก 9 ชาติ - แสดง สหชาตชาติ 15 ปัจจัย - โดย อาจารย์ อาณัติชัย เหลืองอมรชัย ณ อภิธรรมโช
satanmipop
ปริจเฉทที่ 8 - ปัฏฐาน (อ.อาณัติชัย) 8/17 ทบทวนปัจจัยที่ 8 นิสสยปัจจัย
- แสดงปัจจัย 24 เป็น 47 และจำแนก 9 ชาติ - แสดง สหชาตชาติ 15 ปัจจัย - โดย อาจารย์ อาณัติชัย เหลืองอมรชัย ณ อภิธรรมโช
satanmipop
ปริจเฉทที่ 8 - ปัฏฐาน (อ.อาณัติชัย) 8/17 ทบทวนปัจจัยที่ 9 อุปนิสสยปัจจัย
- แสดงปัจจัย 24 เป็น 47 และจำแนก 9 ชาติ - แสดง สหชาตชาติ 15 ปัจจัย - โดย อาจารย์ อาณัติชัย เหลืองอมรชัย ณ อภิธรรมโช
satanmipop
อ่านกระทู้อื่นที่พูดคุยเกี่ยวกับ
พระไตรปิฎก
บนสุด
ล่างสุด
อ่านเฉพาะข้อความเจ้าของกระทู้
หน้า:
หน้า
จาก
แชร์ :
โปรดศึกษาและยอมรับนโยบายข้อมูลส่วนบุคคลก่อนเริ่มใช้งาน
อ่านเพิ่มเติมได้ที่นี่
ยอมรับ
ทบทวน ปัฏฐาน 24 พระคาถา --- อจ.อาณัติชัย เหลืองอมรชัย --พระคาถาที่ 1 ใน 24 พระคาถา