คำตอบที่ได้รับเลือกจากเจ้าของกระทู้
ความคิดเห็นที่ 4
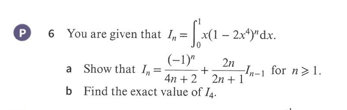
คำใบ้คือจัดรูปแล้วใช้วิธีอินทิเกรต by parts
[Spoil] คลิกเพื่อดูข้อความที่ซ่อนไว้

ส่วนคำถามสองง่ายน่าจะทำเองได้
[Spoil] คลิกเพื่อดูข้อความที่ซ่อนไว้

ส่วนคำถามสองง่ายน่าจะทำเองได้
▼ กำลังโหลดข้อมูล... ▼
แสดงความคิดเห็น
คุณสามารถแสดงความคิดเห็นกับกระทู้นี้ได้ด้วยการเข้าสู่ระบบ
กระทู้ที่คุณอาจสนใจ
อ่านกระทู้อื่นที่พูดคุยเกี่ยวกับ
คณิตศาสตร์
วิชาการ
ผมขอคำใบ้ในการทำข้อนี้หน่อยครับ
ขอบคุณครับ