หน้าแรก
คอมมูนิตี้
ห้อง
แท็ก
คลับ
ห้อง
แก้ไขปักหมุด
ดูทั้งหมด
เกิดข้อผิดพลาดบางอย่าง
ลองใหม่
แท็ก
แก้ไขปักหมุด
ดูเพิ่มเติม
เกิดข้อผิดพลาดบางอย่าง
ลองใหม่
{room_name}
{name}
{description}
กิจกรรม
แลกพอยต์
อื่นๆ
ตั้งกระทู้
เข้าสู่ระบบ / สมัครสมาชิก
เว็บไซต์ในเครือ
Bloggang
Pantown
PantipMarket
Maggang
ติดตามพันทิป
ดาวน์โหลดได้แล้ววันนี้
เกี่ยวกับเรา
กฎ กติกา และมารยาท
คำแนะนำการโพสต์แสดงความเห็น
นโยบายเกี่ยวกับข้อมูลส่วนบุคคล
สิทธิ์การใช้งานของสมาชิก
ติดต่อทีมงาน Pantip
ติดต่อลงโฆษณา
ร่วมงานกับ Pantip
Download App Pantip
Pantip Certified Developer
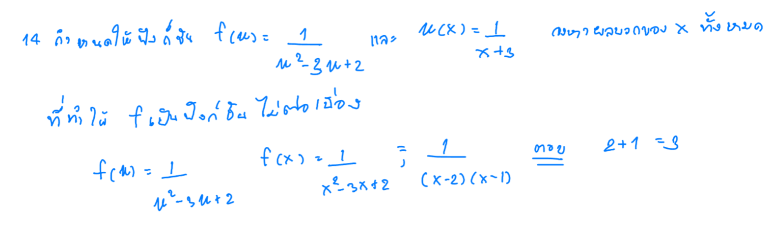
โจทย์ข้อนี้ ต้องการหาอะไรครับ
กระทู้คำถาม
คณิตศาสตร์
ไม่เข้าใจครับว่า f ที่โจทย์หมายถึงนี่คืออะไร หมายถึง f ฟังก์ชั่นทั้งหมดที่โจทย์ให้มา หรือ เป็นชื่อเรียกฟังก์ชัน f(x) ก็เลยคิดแค่ x ที่ทำให้ f(x) ไม่ต่อเนื่อง
ขอบคุณทุกท่านที่มาตอบนะครับ ลายมืออ่านแย่ขอโทษด้วยจริงๆครับ
แก้ไขข้อความเมื่อ
▼
กำลังโหลดข้อมูล...
▼
แสดงความคิดเห็น
กระทู้ที่คุณอาจสนใจ
จะอธิบายฟังก์ชันคงตัวดังกล่าวนี้ให้เข้าใจง่ายยังไงครับ
ถ้า f(x) = 3 แล้ว f(2) = ? คือทุกๆ x ในฟังก์ชัน นี่ให้เท่ากับ 3 แล้วต้องการให้ x เท่ากับ 2 แต่ว่าไม่มีที่ให้ x แทน อยากสอบถามว่ามีวิธีไหนที่จะสามารถอธิบายเรื่อง
คนคนหนึ่งที่ยังเดินบนพื้นดิน
สมการ ข้อนี้ บรรทัดนี้มาได้ยังไงครับ
วิชา control system ครับ หาสมการ transfer จากระบบ 1 2 3 ก็เป็นการใช้สมการ แทนค่าตามหลักคณิตศาสตร์ทั่วไป สมการ 1 2 3 ผมเข้าใจที่มาว่ามาได้ยังไงครับ แต่พอบรรทัดที
หนุ่มหล่อเมืองขอนแก่น
ขอวิธีหาข้อขัดแย้ง ของฟังก์ชั่นข้อนี้หน่อยครับ
**แก้ไข เขาให้หาว่าข้อใดต่อไปนี้ถูกต้องครับ ผมใช้คำผิดไปอาจจะทำให้เข้าใจผิด** สิ่งผมอยากทราบคือวิธีหา ฟังก์ชั่น f(x) และก็ g(x) ครับ สำหรับข้อ 1 น่าจะให้หาตัวอย
สมาชิกหมายเลข 7613160
สูตรที่เกี่ยวกับความสัมพันธ์เชิงฟังก์ชัน
พอดีอยากทราบว่าการหาความชัน หรือ "m" ที่อยู่ด้านล่างนี่ว่ามันมีที่มาจากไหนหรอครับ อยากทราบกระบวนการ ก่อนที่จะมาเป็นสูตรนี้ได้ เผื่อจะเข้าใจสูตรมากว่าน
สมาชิกหมายเลข 3038466
ระบบสมการนี้เป็นเชิงเส้นหรือเปล่าครับ?
พอดีผมเรียนวิชา เรื่องของระบบ (System) พูดตรงๆว่าเรียนไม่ค่อยรู้เรื่องครับ สมการเยอะไปหมด โจทย์ถามว่า ระบบข้างล่างเป็นเชิงเส้นหรือไม่ y(n) = (x(n)-x(n-2))^2 y(n
หนุ่มหล่อเมืองขอนแก่น
ดูลายมือให้หน่อยครับ
ดูลายมือให้หน่อยครับ
สมาชิกหมายเลข 5225397
^^...ใครมี เส้นกากบาทกลางฝ่ามือ บ้าง ครับ ?
ใครมี เส้นกากบาทกลางฝ่ามือ บ้าง ครับ ? ลองดูว่าตรงกับ พยากรณ์ มั๊ย ??? หรือว่า ปกติ มีกันทุกคนหรือ เปล่า ? . . คนที่มีเส้นกากบาทกลางฝ่ามือ ไม่ว่าจะอยู่ข้างซ้ายห
สมาชิกหมายเลข 2656357
จู่ๆ มีขี้แมงวันขึ้นบนฝ่ามือ รบกวนผู้รู้ด้วยค่ะ
จู่ๆ มีขี้แมงวันขึ้นบนฝ่ามือน่ะค่ะ อยากทราบว่าหม่ยถึงอะไรคะ ตอนแรกไม่รู้สึกอะำร แต่พักหลังดูชีวิตติดๆ ขัดๆ ถ้ามันไม่ดี จะได้ไปจี้ออกน่ะค่ะ เพื่อความสบายใจ ขอบคุ
rayfontok
การนับเลข ฝรั่งเศส ทำไมมัน แปลกๆครับ 70 คือนับ 60+10 ,80=20*4
ผมล่ะงงนะครับ ทำไมนับแบบนั้นครับ
สมาชิกหมายเลข 9148441
Universe Physics.!
เป็นฟิสิกส์ ทฤษฎีใหม่.. ที่อยู่บนฐานของ แสงหลายความเร็ว! (Several speed of light) และอ้างอิง Quantum physics เป็นแกน โดยเน้นที่เรื่อง รูปแบบทางคณิตศาสตร์ของพลัง
สมาชิกหมายเลข 1347682
อ่านกระทู้อื่นที่พูดคุยเกี่ยวกับ
คณิตศาสตร์
บนสุด
ล่างสุด
อ่านเฉพาะข้อความเจ้าของกระทู้
หน้า:
หน้า
จาก
แชร์ :
โปรดศึกษาและยอมรับนโยบายข้อมูลส่วนบุคคลก่อนเริ่มใช้งาน
อ่านเพิ่มเติมได้ที่นี่
ยอมรับ
โจทย์ข้อนี้ ต้องการหาอะไรครับ
ไม่เข้าใจครับว่า f ที่โจทย์หมายถึงนี่คืออะไร หมายถึง f ฟังก์ชั่นทั้งหมดที่โจทย์ให้มา หรือ เป็นชื่อเรียกฟังก์ชัน f(x) ก็เลยคิดแค่ x ที่ทำให้ f(x) ไม่ต่อเนื่อง
ขอบคุณทุกท่านที่มาตอบนะครับ ลายมืออ่านแย่ขอโทษด้วยจริงๆครับ