หน้าแรก
คอมมูนิตี้
ห้อง
แท็ก
คลับ
ห้อง
แก้ไขปักหมุด
ดูทั้งหมด
เกิดข้อผิดพลาดบางอย่าง
ลองใหม่
แท็ก
แก้ไขปักหมุด
ดูเพิ่มเติม
เกิดข้อผิดพลาดบางอย่าง
ลองใหม่
{room_name}
{name}
{description}
กิจกรรม
แลกพอยต์
อื่นๆ
ตั้งกระทู้
เข้าสู่ระบบ / สมัครสมาชิก
เว็บไซต์ในเครือ
Bloggang
Pantown
PantipMarket
Maggang
ติดตามพันทิป
ดาวน์โหลดได้แล้ววันนี้
เกี่ยวกับเรา
กฎ กติกา และมารยาท
คำแนะนำการโพสต์แสดงความเห็น
นโยบายเกี่ยวกับข้อมูลส่วนบุคคล
สิทธิ์การใช้งานของสมาชิก
ติดต่อทีมงาน Pantip
ติดต่อลงโฆษณา
ร่วมงานกับ Pantip
Download App Pantip
Pantip Certified Developer
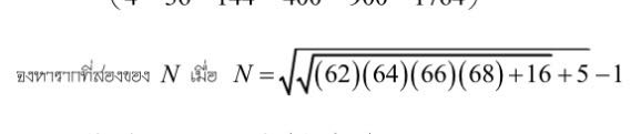
มีวิธีคิดมั้ยครับ
กระทู้คำถาม
คณิตศาสตร์
▼
กำลังโหลดข้อมูล...
▼
แสดงความคิดเห็น
กระทู้ที่คุณอาจสนใจ
อยากได้หนังสือ สุดยอดนักคณิตศาสตร์ ของ สุทัศน์ ยกส้าน
อยากได้เล่มนี้ครับ ใครขายทิ้งช่องทางติดต่อไว้ได้เลยย
สมาชิกหมายเลข 7919718
ศึกษาศาสตร์ คณิตศาสตร์ รามคำแหง
ถามคำแนะนำ และความเป็นไปได้หน่อยครับ ลูกชายจะเข้าเรียนวิศวะ ปี1 พื้นฐานคณิตศาสตร์ อังกฤษ ดีมาก ศึกษาเนื้อหาวิศวะล่วงหน้าพอสมควร บอกว่าไม่ยาก ปัญหาคือ อยากเรียน คบ คณิตศาสตร์ รามคำแหง ควบคู่ไปด้วย มั
Realmonkey
เฉลยหนังสือคณิตศาสตร์เพิ่มเติม ม.4 เล่ม 1 อจท.
ท่านใดมีไฟล์เฉลยแบบฝึกทักษะ ของหนังสือเล่มนี้รบกวนส่งให้หน่อยนะครับ
สมาชิกหมายเลข 7784081
ความไม่มีระเบียบ
จะถูกจัดการด้วยความเป็นระเบียบ เพื่อใช้คำนวณหาความน่าจะเป็น ทางคณิตศาสตร์...ครับ^^ https://www.youtube.com/watch?v=VNwqZ8MiahE
สมาชิกหมายเลข 2798629
ทำไมผมถูก ที่บอกว่าน้ำมันจะลงแล้ว สงครามกำลังจะจบลง
https://pantip.com/topic/44022274/comment2 มันจบจริงๆแล้วครับ คนเทรด WTI เขารู้ไม่กล้าตามมาหลายวันแล้ว ผมรู้เพราะผมดูอย่างสงบ ไม่อวดฉลาดว่าตัวเองรอบรู้ และโดยเฉพาะผมไม่สอบตกคณิตศาสตร์ ให้เด็ก ป.1
สมาชิกหมายเลข 6660857
อยากถามเรื่องปัญหาการเก็บเนื้อหาคณิตศาสตร์ ม.ปลาย เเล้วก็ที่เรียนพิเศษครับ(ondemand)
ผมเป็น dek71 ม4กำลังขึ้น ม5 ครับเป็นคนอ่อนคณิตอยากเริ่มเก็บเนื้อหาคณิตศาสตร์ ม.ปลาย เพื่อจะเข้าคณะทันตะเเพทยศาสตร์อยากได้a-levelคณิต 1ประมาณ 75คะเเนนครับ ปัญหาตอนนี้คือไม่รู้จะเลือกคอร์สไหนดีครับที่ด
สมาชิกหมายเลข 9314346
เตรียมเนื้อหา คณิตศาสตร์/วิทยาศาสตร์ สำหรับม.4
ผมอยากให้พี่ๆแนะนำสิ่งที่ควรรู้เรื่องคณิต/วิท ก่อนจะไปเรียนม.4ครับ ผมบังเอิญเข้าSMTE ได้เลยต้องสู้หน่อย ม.ต้นผมไม่ค่อยตั้งใจเรียนเลย เลยอยากจะมาเริ่มต้นใหม่ตอนม.4ครับ
สมาชิกหมายเลข 7073172
สอบเข้ามหาลัย
เรามีการสอบเข้ามหาวิทยาลัย จะสอบวิชาคณิตศาสตร์และภาษาอังกฤษ มีใครรู้ว่านี่เป็นการสอบแบบไหน และจะเตรียมตัวยังไงดี
สมาชิกหมายเลข 9256063
พื้นฐานคณิตอ่อนมากๆ
สวัสดีค่ะ เรื่องนี้หนูท้อมากเลย หนูขึ้นม.1แล้วแต่พื้นฐานคณิตหนูยังแย่มากๆๆเลยค่ะ บวกลบคูณหารไม่คล่อง เลยทำให้พอขึ้นป.4-6มาเกรดหนูตกไปเยอะมากๆ หนูพยายามตั้งใจเรียนสุดๆ แต่ผลคือหนูก็ยังไม่เข้าใจมัน เลยส
สมาชิกหมายเลข 8817152
เเคลพื้นฐาน อยากรู้ว่าข้อนี้เราตอบรูท 5 ได้มั้ยครับ
สมาชิกหมายเลข 8605915
อ่านกระทู้อื่นที่พูดคุยเกี่ยวกับ
คณิตศาสตร์
บนสุด
ล่างสุด
อ่านเฉพาะข้อความเจ้าของกระทู้
หน้า:
หน้า
จาก
แชร์ :
โปรดศึกษาและยอมรับนโยบายข้อมูลส่วนบุคคลก่อนเริ่มใช้งาน
อ่านเพิ่มเติมได้ที่นี่
ยอมรับ
มีวิธีคิดมั้ยครับ