หน้าแรก
คอมมูนิตี้
ห้อง
แท็ก
คลับ
ห้อง
แก้ไขปักหมุด
ดูทั้งหมด
เกิดข้อผิดพลาดบางอย่าง
ลองใหม่
แท็ก
แก้ไขปักหมุด
ดูเพิ่มเติม
เกิดข้อผิดพลาดบางอย่าง
ลองใหม่
{room_name}
{name}
{description}
กิจกรรม
แลกพอยต์
อื่นๆ
ตั้งกระทู้
เข้าสู่ระบบ / สมัครสมาชิก
เว็บไซต์ในเครือ
Bloggang
Pantown
PantipMarket
Maggang
ติดตามพันทิป
ดาวน์โหลดได้แล้ววันนี้
เกี่ยวกับเรา
กฎ กติกา และมารยาท
คำแนะนำการโพสต์แสดงความเห็น
นโยบายเกี่ยวกับข้อมูลส่วนบุคคล
สิทธิ์การใช้งานของสมาชิก
ติดต่อทีมงาน Pantip
ติดต่อลงโฆษณา
ร่วมงานกับ Pantip
Download App Pantip
Pantip Certified Developer
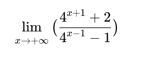
ช่วยกน่อยครับ
กระทู้คำถาม
คณิตศาสตร์
▼
กำลังโหลดข้อมูล...
▼
แสดงความคิดเห็น
กระทู้ที่คุณอาจสนใจ
ตราโรงเรียนอะไรครับ
รบกวนถามกน่อยครับอันนี้ตราโรงเรียนอะไรครับ
สมาชิกหมายเลข 7808332
ท่าผมเข้าสายวิทย์คณิตไม่ได้มี สายอื่นที่สามารถ สอบ ได้ทุกๆคณะในทุกมหาวิทยาลัยได้ป่าวครับ
ตอนนี้ผมอยู่ ม.3 นะครับ ผมมีมหาลัยและคณะที่ผมเล็งไว้ก็จะประมาณนี้ครับ 1.วิทยาการคอมพิวเตอร์ มจธ 2.ครุศาตร์ (วท.บ.วิทยาการคอมพิวเตอร์มัลติมีเดี่ย) มจธ 3.คนิตศาตร์ มจธ 4.วิทยาการคอมพิวเตอร์ ม.จุฬา 5.ศึก
สมาชิกหมายเลข 9123772
ถนัดคณิต อยากรู้ว่าระหว่างคณะการเงินกับเศรษฐศาสตร์ ต่างกันยังไงและสายไหนใช้คณิตมากกว่าคับ
อีกอย่างคับเรื่องงานอันไหนมีทางที่เงินเดือนดีและมั่งคงกว่าคับ
สมาชิกหมายเลข 8160335
✿҈ช่วยสอยวิชาคณิตข้อนี้กน่อยครับ
ผมไม่รู้ว่าผมทำถูกรึปล่าวอะครับ ผมงงมากเลย
สมาชิกหมายเลข 6011206
คิดโจทย์คณิตให้หน่อยยย
(AB) ¯¹ = B¯¹ A¯¹ มันต้องกำหนด A B เเล้วคิดยังไง🥲
สมาชิกหมายเลข 6453039
มีข้อสงสัย
y=5 เป็นสมการของกราฟพาราโบลาไหม เพราะไร
สมาชิกหมายเลข 5237271
วอนผู้เก่งคณิตช่วยแก้โจทย์คณิตข้อนี้หน่อยย การหารพหุนาม
สมาชิกหมายเลข 7894260
ช่วยแนะนำ คอร์ส คณิต ฟิสิก อังกฤษ หน่อยค่ะ Tcas67 Dek67
สวัสดีค่ะตามหัวข้อกระทู้เลยค่ะ เราจะไปสอบ A-level 67 tcas 67 dek 67 สอบเดือน มีนา ค่ะ มีทั้งหมด 3 วิชาค่ะ 1 คณิต 2 ฟิสิก 3 อังกฤษ เราเป็นคนไม่ค่อยมีพื้นฐานทุกวิชาเลยค่ะ แต่อยากได้คอร์สเรียนที่ดี ราคาท
สมาชิกหมายเลข 7605027
คณิต ความน่าจะเป็น
เวลาเราตอบผลลัพธ์ทั้งหมดเราต้องตอบผลลัพธ์ที่เป็นตัวอักษรไหมเช่น abc หรือตอบเเค่ตัวเลขก็ได้ เเล้วเราต้องตัดตัวเลขเป็นเศษส่วนอย่างตํ่าทุกครั้งไหม
สมาชิกหมายเลข 7479853
ช่วยหาโค้ดการคำนวณหาค่าไฟโดยใช้แอพพลิเคชั่นหน่อยค่ะะ
ตอนนี้หนูกำลังทำโครงงานวิชาคณิตอยู่ พี่ๆคนไหนใจดีรู้เกี่ยวกับเรื่องการใช้โค้ดคำนวณหาค่าไฟโดยใช้แอพพลิเคชั่น ช่วยหนูด้วยนะคะะะะ ขอบคุณค่ะะ
สมาชิกหมายเลข 7778536
อ่านกระทู้อื่นที่พูดคุยเกี่ยวกับ
คณิตศาสตร์
บนสุด
ล่างสุด
อ่านเฉพาะข้อความเจ้าของกระทู้
หน้า:
หน้า
จาก
แชร์ :
โปรดศึกษาและยอมรับนโยบายข้อมูลส่วนบุคคลก่อนเริ่มใช้งาน
อ่านเพิ่มเติมได้ที่นี่
ยอมรับ
ช่วยกน่อยครับ