คำตอบที่ได้รับเลือกจากเจ้าของกระทู้
ความคิดเห็นที่ 2
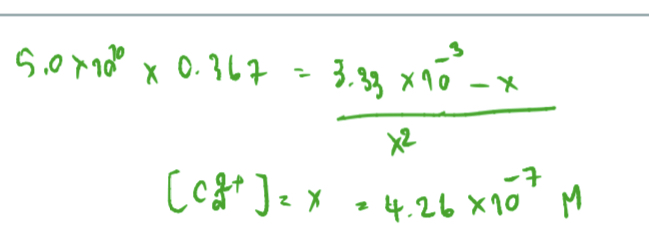
(5×10^10) × 0.367 = (3.33×10^(-3) - x) / x^2
1.835×10^10 = (3.33×10^(-3) - x) / x^2
x^2 = (3.33×10^(-3) - x) / (1.835×10^10 )
เนื่องจาก ตัวหารมีค่ามากกว่าตัวตั้งเกิน 10^3 หรือ 1000 เท่า
จึงประมาณค่าได้ว่า 3.33×10^(-3) - x ≈ 3.33×10^(-3)
จะได้สมการใหม่คือ x^2 = 3.33×10^(-3) / 1.835×10^10
x = √(3.33×10^(-3) / 1.835×10^10 )
x = √(3.33/1.835) × √(10^(-3) / 10^10 )
x = √1.815 × √(10^(-13) )
x = √1.815 × √(10×10^(-14) )
x = √1.815 × √10 × √(10^(-14) )
x = (√18.15 ) × 10^(-14/2)
x = 4.26 × 10^(-7)
หรือ [Ca²+] = x = 4.26 × 10^(-7)

การหาค่ารากที่สอง ด้วยวิธีตั้งหารยาว
(กรณีห้ามใช้เครื่องคิดเลข)
1.835×10^10 = (3.33×10^(-3) - x) / x^2
x^2 = (3.33×10^(-3) - x) / (1.835×10^10 )
เนื่องจาก ตัวหารมีค่ามากกว่าตัวตั้งเกิน 10^3 หรือ 1000 เท่า
จึงประมาณค่าได้ว่า 3.33×10^(-3) - x ≈ 3.33×10^(-3)
จะได้สมการใหม่คือ x^2 = 3.33×10^(-3) / 1.835×10^10
x = √(3.33×10^(-3) / 1.835×10^10 )
x = √(3.33/1.835) × √(10^(-3) / 10^10 )
x = √1.815 × √(10^(-13) )
x = √1.815 × √(10×10^(-14) )
x = √1.815 × √10 × √(10^(-14) )
x = (√18.15 ) × 10^(-14/2)
x = 4.26 × 10^(-7)
หรือ [Ca²+] = x = 4.26 × 10^(-7)

การหาค่ารากที่สอง ด้วยวิธีตั้งหารยาว
(กรณีห้ามใช้เครื่องคิดเลข)
▼ กำลังโหลดข้อมูล... ▼
แสดงความคิดเห็น
คุณสามารถแสดงความคิดเห็นกับกระทู้นี้ได้ด้วยการเข้าสู่ระบบ
อันนี้ต้องคิดแบบไหนคะ ย้ายข้างยังไงคะ พยามยามลองย้ายข้างแล้ว แต่ได้ค่าไม่ตรงเลยค่ะ #เคมี