หน้าแรก
คอมมูนิตี้
ห้อง
แท็ก
คลับ
ห้อง
แก้ไขปักหมุด
ดูทั้งหมด
เกิดข้อผิดพลาดบางอย่าง
ลองใหม่
แท็ก
แก้ไขปักหมุด
ดูเพิ่มเติม
เกิดข้อผิดพลาดบางอย่าง
ลองใหม่
{room_name}
{name}
{description}
กิจกรรม
แลกพอยต์
อื่นๆ
ตั้งกระทู้
Pantip MALL
เข้าสู่ระบบ / สมัครสมาชิก
เว็บไซต์ในเครือ
Bloggang
Pantown
PantipMarket
Maggang
ติดตามพันทิป
ดาวน์โหลดได้แล้ววันนี้
เกี่ยวกับเรา
กฎ กติกา และมารยาท
คำแนะนำการโพสต์แสดงความเห็น
นโยบายเกี่ยวกับข้อมูลส่วนบุคคล
สิทธิ์การใช้งานของสมาชิก
ติดต่อทีมงาน Pantip
ติดต่อลงโฆษณา
ร่วมงานกับ Pantip
Download App Pantip
Pantip Certified Developer
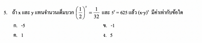
เราข้อนี้ค่ะ เราพยามแสดงวิธีทำเยอะมาก แต่คำตอบก็ยังไม่ตรงตามช้อย เราอยากรู้เราแสดงวิธีทำผิดที่ส่วนไหน ช่วยอธิบายหน่อยค่ะ
กระทู้คำถาม
▼
กำลังโหลดข้อมูล...
▼
แสดงความคิดเห็น
กระทู้ที่คุณอาจสนใจ
ช่วยอธิบายโจทย์ลิมิตข้อนี้ให้หน่อยค่ะ
ช่วยอธิบายการหาแต่ละช้อยให้หน่อยค่ะ
สมาชิกหมายเลข 5206819
ถามหน่อยครับ โครงการช่วยเหลือ ลดต้นลดดอก covidระยะที่2 ของเฟิร์สช้อย
มีข้อดีข้อเสียคุ้มมััยครับ ถ้าจ่ายไปสักพักแล้ว จะยกเลิกกลับมาจ่ายเป็นปกติได้มั้ย หมายถึงจะพยามรีบโป๊ะจ่ายให้หมดครับ หรือว่าต้องปิดยอดทั้งหมดอย่างเดียว ขอบคุณครับ
GEASS
ใครเคยสอบ CAT Telecom บ้างคะ??
ข้อสอบยากมั้ย?? ข้อสอบเป็นข้อเขียนหรือข้อช้อยส์คะ ตอนนี้พยามหาหนังสือมาติว แต่ตามร้านหนังสือทั่วไปไม่เห็นมีเลยค่ะ ใครพอจะมีแนวข้อสอบบ้างไหมคะ ตำแหน่ง นักโปรแกรมคอมพิวเตอร์อ่ะค่ะ
สมาชิกหมายเลข 839711
มีใครเข้าใจลำดับและอนุกรมมั้ยคะช่วยอธิบายที
ส่วนตัวเราคิดแบบนี้ค่ะแต่มันไม่มีในช้อยเลย
สมาชิกหมายเลข 6130568
การคูณเลขยกกำลังแต่ฐานไม่เหมือนกัน ทำยังไงคะพี่ ๆ 🥲
สวัสดีค่ะ เรามีปัญหาเรื่องเลขยกกำลังมาตั้งแต่ ม.1 ค่ะ เราเลยอยากจะขอให้อธิบายโจทย์ข้อนี้ให้เราหน่อยได้มั้ยคะ ว่าแต่ละช้อยส์ทำยังไง แล้วในกรณีที่เราเจอการคูณแต่ฐานไม่เหมือนกันเราต้องทำยังไงคะ y y
สมาชิกหมายเลข 8219051
เข้า Roblox ไม่ได้
ผมไม่สามารถเข้า Roblox ได้ครับ พอผมกดไปที่ไอคอนเกม มันก็ไม่มีอะไรเกิดขึ้น ผมพยามยาม รีสตาร์ทคอมใหม่ หรือลบเเล้วโหลดใหม่ มันก็แก้ไม่ได้ ควรแก้ยังไงดีครับ (แต่ผมยังสามารถเข้าไปเล่นบนโทรศัพท์ได้ปกตินะครั
สมาชิกหมายเลข 9283223
ทำยังให้ติดต่อศูนย์ทรูได้คะ
พยาม ติดต่อ โทรไป รอสายนานมาก ติดต่อยากเหลือเกิน มีวิธีติดต่อทางอื่นที่ได้คุยกับเจ้าหน้าที่ไหมคะ
สมาชิกหมายเลข 4409300
ประกันฟริสช้อยโทรล่ำไร
ประกันเฟริสช้อยนี่มันฟรีหรอโทรมาหลายวันมากเล้าลื้อมากจะทำงานต้องมานั่งสารวนรับสายคิดว่าใครมีธุรเร่งด่วนโทร เบอร์นี้โทรมาจากเฟริสช้อย095-063-0579 ฝากกรุงศรีเฟริสช้อยตรวจสอบหน่อยนะ
สมาชิกหมายเลข 9213592
ติดต่อ AIS ยังไงให้ได้คุยกับเจ้าหน้าที่
พยามติดต่อ 1175 จะเเจ้งปัญหาเน็ตเสีย รอบแรกให้คุยกับอุ่นใจ จนต้องวางสายเพราะมันไม่ให้คุยกับเจ้าหน้าที่สักที โทรอบสองรอ โทเบอ 02-0789000 สายเกือบครึ่งชั่วโมงจนต้องยอมวางสายเอง เพราะเงินจะหมด คือไม่ทำงา
สมาชิกหมายเลข 8926608
ค่าย Iyf เป็นยังไง
ขอรีวิวแบบจริงจังได้มั้ยคะ🥹 บังคนบอกดีบางคนบอกไม่ดีค่ะ หนูพยามๆอ่านทุกอันเลยค่ะ อยากรู้ว่าระหว่าดีกับไม่ดีอันไหนเยอะกว่ากัน
สมาชิกหมายเลข 9197042
บนสุด
ล่างสุด
อ่านเฉพาะข้อความเจ้าของกระทู้
หน้า:
หน้า
จาก
แชร์ :
โปรดศึกษาและยอมรับนโยบายข้อมูลส่วนบุคคลก่อนเริ่มใช้งาน
อ่านเพิ่มเติมได้ที่นี่
ยอมรับ
เราข้อนี้ค่ะ เราพยามแสดงวิธีทำเยอะมาก แต่คำตอบก็ยังไม่ตรงตามช้อย เราอยากรู้เราแสดงวิธีทำผิดที่ส่วนไหน ช่วยอธิบายหน่อยค่ะ