คำตอบที่ได้รับเลือกจากเจ้าของกระทู้
ความคิดเห็นที่ 2
สมการ x3 + 30x2 - 1575x + 7500 = 0 มีคำตอบเป็นจำนวนจริง 3 คำตอบ ตามกราฟครับ

Wolfram Alpha (ตัวช่วยคนเก่งของเรา) บอกว่าคำตอบมีค่าประมาณ -58.901, 5.423 และ 23.478
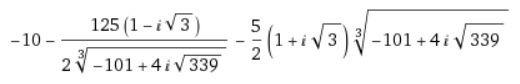
หรือถ้าจะเอาค่าที่แท้จริง (น่าจะใช้ cubic formula ของ Cardano) ก็จะออกมาแบบนี้

ถ้าจะมองให้เห็นชัดว่า ค่า x ทั้งสามค่านี้เป็นจำนวนจริง ก็ทำแบบนี้ได้ครับ

ผมทำเฉพาะค่าแรกนะครับ ส่วนอีก 2 ค่าที่เหลือก็ทำได้ในทำนองเดียวกัน
นอกจากนี้ ถ้าไม่ใช้สูตรของ Cardano ก็อาจจะใช้ระเบียบวิธีเชิงตัวเลข เช่น Newton's Method ก็ได้ครับ

Wolfram Alpha (ตัวช่วยคนเก่งของเรา) บอกว่าคำตอบมีค่าประมาณ -58.901, 5.423 และ 23.478
หรือถ้าจะเอาค่าที่แท้จริง (น่าจะใช้ cubic formula ของ Cardano) ก็จะออกมาแบบนี้

ถ้าจะมองให้เห็นชัดว่า ค่า x ทั้งสามค่านี้เป็นจำนวนจริง ก็ทำแบบนี้ได้ครับ

ผมทำเฉพาะค่าแรกนะครับ ส่วนอีก 2 ค่าที่เหลือก็ทำได้ในทำนองเดียวกัน
นอกจากนี้ ถ้าไม่ใช้สูตรของ Cardano ก็อาจจะใช้ระเบียบวิธีเชิงตัวเลข เช่น Newton's Method ก็ได้ครับ
▼ กำลังโหลดข้อมูล... ▼
แสดงความคิดเห็น
คุณสามารถแสดงความคิดเห็นกับกระทู้นี้ได้ด้วยการเข้าสู่ระบบ
กระทู้ที่คุณอาจสนใจ
อ่านกระทู้อื่นที่พูดคุยเกี่ยวกับ
คณิตศาสตร์
หาวิธีทำให้จำนวนจริงจำนวนนี้ อยู่ในรูปอย่างง่ายครับ
มีวิธีทำให้ i หายไปไหมครับ หรือว่าการใช้สูตร มันไม่ work มีวิธีอื่นที่ดีกว่า? >.,<
[Spoil] คลิกเพื่อดูข้อความที่ซ่อนไว้