คำตอบที่ได้รับเลือกจากเจ้าของกระทู้
ความคิดเห็นที่ 5
สมมติว่าเราเดินทางได้เร็วเท่าแสง การเดินทางไปยังดาวที่อยู่ห่างออกไป 1 ปีแสงต้องใช้เวลา 1 ปี
แล้วเวลาบนโลกจะผ่านไป 1 ปีเท่ากันไหมครับ ถ้าไม่เท่าแล้วเวลาบนโลกจะผ่านไปเท่าไหร่ครับ มีวิธีคำนวณไหมครับ
ขอแก้ไขให้ 2 อย่างนะครับ อย่างแรกคือ เราไม่สามารถเดินทางเร็วเท่าแสง 100% ได้
ตามทฤษฏีสัมพัทธภาพของ Einstien กล่าวไว้เช่นนี้ และในทางการคำนวณก็จะ error
เมื่อเราใส่ค่าความเร็วเดินทางเท่ากับแสง ลงไป .... ดังนั้น ในการยกตัวอย่าง หรือ คำนวณเรื่องนี้
จะใช้ความเร็วแบบใกล้แสงมาก ๆ แทนครับ
อย่างที่สอง คือ หากเราเดินทางเร็วใกล้แสงมาก ๆๆๆ ..... การเดินทางไปดาวที่ไกล 1 ปีแสง
"ตัวเรา" และยาน จะไม่ได้ใช้เวลา 1 ปีนะครับ แต่จะใช้เวลาสั้นลงกว่านั้นมากจากผลของ time dilation
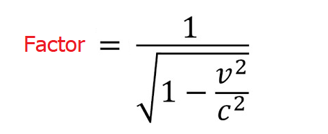
การคำนวณว่าเราจะใช้เวลาเท่าใด ใช้สมการง่าย ๆ ตัวนี้ครับ

วิธีการคำนวณก็คือ หากเราไปดาวที่ไกล 1 ปีแสง ด้วยความเร็ว 99.25% ของแสง
ก่อนอื่นเลยให้หาค่า factor ของ time dilation ก่อน ก็แทนค่าลงในสมการบน
c = 299,792.458 km/s V = 0.9925 ⨯ 299,792.458 = 297,544.015 km/s
ก็จะได้ค่า factor = 8.1803
จากนั้น เราก็มาพิจารณาเวลาบนโลก เนื่องจากโลกไม่ได้เกี่ยวข้องกับ time dilation ใด ๆ เลย
ดังนั้น บนโลกจะรับรู้ว่ายานของเราจะใช้เวลาไปดาวที่ไกล 1 ปีแสง ด้วยการคำนวณแบบฟิสิกส์คลาสสิก
ก็คือ S = VT ธรรมดานี่เอง T = S/V = (1 ปีแสง)/(297,544.015 km/s) = 1.00755667 ปี หรือ 1 ปี กับอีก 2 วัน 18 ชั่วโมง
แต่ .... คนในยานจะใช้เวลาน้อยลงตาม factor ที่เราคำนวณไว้
ก็คือใช้เวลาเพียง 1.00755667/8.1803 = 0.12316866985 ปี หรือ 45 วัน เท่านั้นครับ
แล้วเวลาบนโลกจะผ่านไป 1 ปีเท่ากันไหมครับ ถ้าไม่เท่าแล้วเวลาบนโลกจะผ่านไปเท่าไหร่ครับ มีวิธีคำนวณไหมครับ
ขอแก้ไขให้ 2 อย่างนะครับ อย่างแรกคือ เราไม่สามารถเดินทางเร็วเท่าแสง 100% ได้
ตามทฤษฏีสัมพัทธภาพของ Einstien กล่าวไว้เช่นนี้ และในทางการคำนวณก็จะ error
เมื่อเราใส่ค่าความเร็วเดินทางเท่ากับแสง ลงไป .... ดังนั้น ในการยกตัวอย่าง หรือ คำนวณเรื่องนี้
จะใช้ความเร็วแบบใกล้แสงมาก ๆ แทนครับ
อย่างที่สอง คือ หากเราเดินทางเร็วใกล้แสงมาก ๆๆๆ ..... การเดินทางไปดาวที่ไกล 1 ปีแสง
"ตัวเรา" และยาน จะไม่ได้ใช้เวลา 1 ปีนะครับ แต่จะใช้เวลาสั้นลงกว่านั้นมากจากผลของ time dilation
การคำนวณว่าเราจะใช้เวลาเท่าใด ใช้สมการง่าย ๆ ตัวนี้ครับ

วิธีการคำนวณก็คือ หากเราไปดาวที่ไกล 1 ปีแสง ด้วยความเร็ว 99.25% ของแสง
ก่อนอื่นเลยให้หาค่า factor ของ time dilation ก่อน ก็แทนค่าลงในสมการบน
c = 299,792.458 km/s V = 0.9925 ⨯ 299,792.458 = 297,544.015 km/s
ก็จะได้ค่า factor = 8.1803
จากนั้น เราก็มาพิจารณาเวลาบนโลก เนื่องจากโลกไม่ได้เกี่ยวข้องกับ time dilation ใด ๆ เลย
ดังนั้น บนโลกจะรับรู้ว่ายานของเราจะใช้เวลาไปดาวที่ไกล 1 ปีแสง ด้วยการคำนวณแบบฟิสิกส์คลาสสิก
ก็คือ S = VT ธรรมดานี่เอง T = S/V = (1 ปีแสง)/(297,544.015 km/s) = 1.00755667 ปี หรือ 1 ปี กับอีก 2 วัน 18 ชั่วโมง
แต่ .... คนในยานจะใช้เวลาน้อยลงตาม factor ที่เราคำนวณไว้
ก็คือใช้เวลาเพียง 1.00755667/8.1803 = 0.12316866985 ปี หรือ 45 วัน เท่านั้นครับ
▼ กำลังโหลดข้อมูล... ▼
แสดงความคิดเห็น
คุณสามารถแสดงความคิดเห็นกับกระทู้นี้ได้ด้วยการเข้าสู่ระบบ
กระทู้ที่คุณอาจสนใจ
อ่านกระทู้อื่นที่พูดคุยเกี่ยวกับ
อวกาศ
สมมติว่าเราเดินทางได้เร็วเท่าแสง