โจทย์ ตรีโกณ ม.5 , ทำ 2 วิธี ได้มา 2 คำตอบ , อยากทราบ อันใหน ถูกครับ

ผมเจอโจทย์ตรีโกณ ตามข้างล่างนี้ แล้วลองทำดู


ผมลองทำโดย 2 วิธีครับ

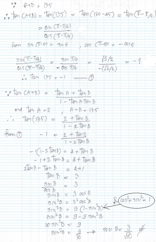
(1) ทำโดยใช้ สารพัดสูตรตรีโกณ ได้คำตอบ = 3 / Sqrt(10)


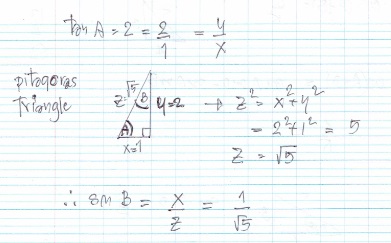
(2) ทำโดยใช้ ความสัมพันธ์ Pitagoras ได้คำตอบ =  1 / Sqrt(5)

ผมจึงอยากถามครับว่า คำตอบใหนถูก และ วิธีใหนที่ผิด เพราะอะไร(เงื่อนไข/สมมุติฐาน)ถึงผิด ?

ขอบคุณล่วงหน้าครับ
คำตอบที่ได้รับเลือกจากเจ้าของกระทู้
ความคิดเห็นที่ 1
วิธีที่สองผิดครับ มุมในสามเหลี่ยม = (A+B)+90 = 135+90 = 225 > 180 ซึ่งเป็นไปไม่ได้ครับ (มุม A,B ไม่เกี่ยวกันเลยครับ (ยกเว้นที่ต้องรวมกันได้ 135) ไม่สามารถวาดในรูปสามเหลี่ยมรูปเดียวกันได้)
แสดงความคิดเห็น
โปรดศึกษาและยอมรับนโยบายข้อมูลส่วนบุคคลก่อนเริ่มใช้งาน อ่านเพิ่มเติมได้ที่นี่