หน้าแรก
คอมมูนิตี้
ห้อง
แท็ก
คลับ
ห้อง
แก้ไขปักหมุด
ดูทั้งหมด
เกิดข้อผิดพลาดบางอย่าง
ลองใหม่
แท็ก
แก้ไขปักหมุด
ดูเพิ่มเติม
เกิดข้อผิดพลาดบางอย่าง
ลองใหม่
{room_name}
{name}
{description}
กิจกรรม
แลกพอยต์
อื่นๆ
ตั้งกระทู้
เข้าสู่ระบบ / สมัครสมาชิก
เว็บไซต์ในเครือ
Bloggang
Pantown
PantipMarket
Maggang
ติดตามพันทิป
ดาวน์โหลดได้แล้ววันนี้
เกี่ยวกับเรา
กฎ กติกา และมารยาท
คำแนะนำการโพสต์แสดงความเห็น
นโยบายเกี่ยวกับข้อมูลส่วนบุคคล
สิทธิ์การใช้งานของสมาชิก
ติดต่อทีมงาน Pantip
ติดต่อลงโฆษณา
ร่วมงานกับ Pantip
Download App Pantip
Pantip Certified Developer
ผมติดปัญหาคณิตศาสตร์ แก้ไม่ออกสักที วอรผู้รู้ช่วยผมด้วยครับ ขอบคุณมากครับ
กระทู้คำถาม
คณิตศาสตร์
วิชาการ
พีชคณิต (Algebra)
สมการ (คณิตศาสตร์)
จงหาค่าของ
1
+
2
+
3
+ .... +
10
1
0
+1
2
+1
4
2
0
+2
2
+2
4
3
0
+3
2
+3
4
10
0
+10
2
+10
4
เท่ากับเท่าใด?
คำตอบที่ได้รับเลือกจากเจ้าของกระทู้
ความคิดเห็นที่ 3
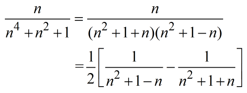
Hint :
▼
กำลังโหลดข้อมูล...
▼
แสดงความคิดเห็น
กระทู้ที่คุณอาจสนใจ
( ˘ ³˘)♥ ++ [รวม แจก แลกเปลี่ยน] สัญลักษณ์พิเศษและอิโมจิขาวดำน่ารักๆ ^‿^ ☺☻
✿ ✿ ✿ ✿ ✿ ✿ ✿ ✿ ✿ ✿ รวบรวมตั้งกระทู้เองซะเลย!!เห็นสัญลักษณ์พิเศษและอิโมจิขาวดำน่ารักๆในไอจี หรือคอมเม้นต่างๆ...โอ้ย! อยากมี >‿<อยากเก็บไว้บ้าง&
Juphing_phing
ขอโปรเน็ต ais 30 วัน คุ้มๆหน่อยครับเคยใช้ 200 บาท เคยได้จากเบอร์เก่าได้ 4Mbps ไม่ลดสปีด
สมาชิกหมายเลข 7556392
บุหรี่ที่มีเม็ดบีบเซเว่นมีตัวไหนน่าสนใจบ้างคับ
คือปกติดูดLMคับอยากลองดูดพวกที่มีเม็ดบีบเลยอยากรู้ว่ามีตัวไหนน่าสนใจบ้างครับอยากได้ที่มีขายที่เซเว่นนะคับ
สมาชิกหมายเลข 5744325
ทบทวนวงเงิน LINE BK
อยากทราบว่าข้อความขึ้นมาแบบนี้มันหมายถึงอะไรหรอครับ LINE BK อยู่ระหว่างการพิจารณาทบทวนวงเงินสินเชื่อหมายเลขลงท้าย 0408-10 ของคุณตามนโยบายสินเชื่อของบริษัท โดยจะแจ้งผลให้คุณทราบเมื่อดำเนินการแล้วเสร็จ
สมาชิกหมายเลข 7074579
49 52 54 56 เทียบกับสิ่งของ 🤔
ตามหัวข้อเลยครับ ไม่ได้มีเจตนา 18+ เเต่ต้องการหาความรู้ว่าของตัวเองประมาณเท่าไหน อะไรสามารถเปรียบเทียบได้บ้าง
สมาชิกหมายเลข 7596298
ถูกล็อตเตอรี่ 2 ตัว ไปขึ้นเงินที่ไหน โดนหักกี่เปอร์เซ็นต์ค่ะ ไม่สะดวกไป กองสลากที่ สนามบินน้ำ
ขึ้นที่กองสลากเก่าได้ไหมค่ะ ตามแหล่ง รับซื้อ จะถูกหักกี่เปอร์เซ็นต์ แล้วเขียนชื่อ ที่อยู่ด้านหลังไว้แล้ว ก็ ขึ้นกับพวกรับซื้อ พวกนี้ได้ใช่ไหมค่ะ
chimon
🧐 เรื่องย่อ ‘คือเธอ’
เมื่อ ‘คนแปลกหน้า’ สองคนที่อยู่ ‘คนละโลก’ โคจรมาพบกันด้วยพรหมลิขิตในค่ำคืนหนึ่ง... จะพัฒนากลายเป็น ’รักแท้’ ได้ไหม? คนแปลกหน้าที่มีชีวิตอยู่คนละโลกอย่าง สายขิ
สมาชิกหมายเลข 5555682
ตื่มโค้กแล้วกินทุเรียนตามเป็นอะไรไหม?
คือจขกท.นั่งกินข้าวคะแล้วเทโค้กขวดเล็ก1ขวดกินระหว่างกินข้าว พอกินเสร็จก็หยิบทุเรียนกินไป1ชิ้น ก็เทน้ำเปล่าใส่แก้วที่กินน้ำโค้กหมดไปแล้วตามปกติ แต่!! จขกท.ก็นึกขึ้นได้ว่าเคยเจอข่าวที่ว่ามีคนกินทุเรียนก
สมาชิกหมายเลข 2982465
น้องฟ้า สาวพม่าน่ารักใสๆ กับครั้งแรกของเธอ
ครั้งแรกของ น้องฟ้า สาวพม่าน่ารักใสๆ กับการเข้าโรงหนังเป็นครั้งแรกในชีวิตของเธอ และความรู้สึกหลังดูหนังเรื่อง พี่มาก พระโขนง http://www.youtube.com/watch?v=RvIEZjGAzNo ดูสดใส และบริสุทธิ์ จริงๆเลย
สมาชิกหมายเลข 788785
สินเชื่อกู๊ดมันนี่ by ออมสิน มีใครเคยสมัครมั้ยครับ รออนุมัตินานมั้ย
สมาชิกหมายเลข 7912239
อ่านกระทู้อื่นที่พูดคุยเกี่ยวกับ
คณิตศาสตร์
วิชาการ
พีชคณิต (Algebra)
สมการ (คณิตศาสตร์)
บนสุด
ล่างสุด
อ่านเฉพาะข้อความเจ้าของกระทู้
หน้า:
หน้า
จาก
แชร์ :
โปรดศึกษาและยอมรับนโยบายข้อมูลส่วนบุคคลก่อนเริ่มใช้งาน
อ่านเพิ่มเติมได้ที่นี่
ยอมรับ
ผมติดปัญหาคณิตศาสตร์ แก้ไม่ออกสักที วอรผู้รู้ช่วยผมด้วยครับ ขอบคุณมากครับ
1 + 2 + 3 + .... + 10
10+12+14 20+22+24 30+32+34 100+102+104
เท่ากับเท่าใด?