คำตอบที่ได้รับเลือกจากเจ้าของกระทู้
ความคิดเห็นที่ 2
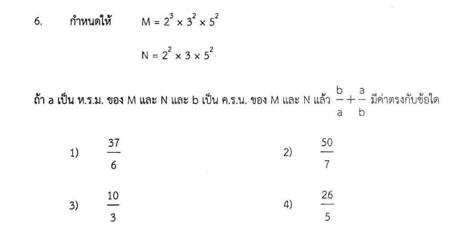
ถ้าตัวเลขแค่นี้ วิธีง่ายสุดน่าจะเป็น การทำเป็นจำนวนเต็มก่อนเลยครับ
M = 8 x 9 x 25 = 1800
N = 4 x 3 x 25 = 300
ห.ร.ม. = a = 300
ค.ร.น. = b = 1800
b/a + a/b = 1800/300 + 300/1800 = 6 + 1/6 = 61/6 = 37/6
M = 8 x 9 x 25 = 1800
N = 4 x 3 x 25 = 300
ห.ร.ม. = a = 300
ค.ร.น. = b = 1800
b/a + a/b = 1800/300 + 300/1800 = 6 + 1/6 = 61/6 = 37/6
▼ กำลังโหลดข้อมูล... ▼
แสดงความคิดเห็น
คุณสามารถแสดงความคิดเห็นกับกระทู้นี้ได้ด้วยการเข้าสู่ระบบ
กระทู้ที่คุณอาจสนใจ
อ่านกระทู้อื่นที่พูดคุยเกี่ยวกับ
คณิตศาสตร์
รบกวนพี่ป้าน้าอาหน่อยครับ ว่าโจทย์ข้อนี้มีวิธีการทำอย่างไรให้ง่ายๆ บ้างครับ