หน้าแรก
คอมมูนิตี้
ห้อง
แท็ก
คลับ
ห้อง
แก้ไขปักหมุด
ดูทั้งหมด
เกิดข้อผิดพลาดบางอย่าง
ลองใหม่
แท็ก
แก้ไขปักหมุด
ดูเพิ่มเติม
เกิดข้อผิดพลาดบางอย่าง
ลองใหม่
{room_name}
{name}
{description}
กิจกรรม
แลกพอยต์
อื่นๆ
ตั้งกระทู้
เข้าสู่ระบบ / สมัครสมาชิก
เว็บไซต์ในเครือ
Bloggang
Pantown
PantipMarket
Maggang
ติดตามพันทิป
ดาวน์โหลดได้แล้ววันนี้
เกี่ยวกับเรา
กฎ กติกา และมารยาท
คำแนะนำการโพสต์แสดงความเห็น
นโยบายเกี่ยวกับข้อมูลส่วนบุคคล
สิทธิ์การใช้งานของสมาชิก
ติดต่อทีมงาน Pantip
ติดต่อลงโฆษณา
ร่วมงานกับ Pantip
Download App Pantip
Pantip Certified Developer
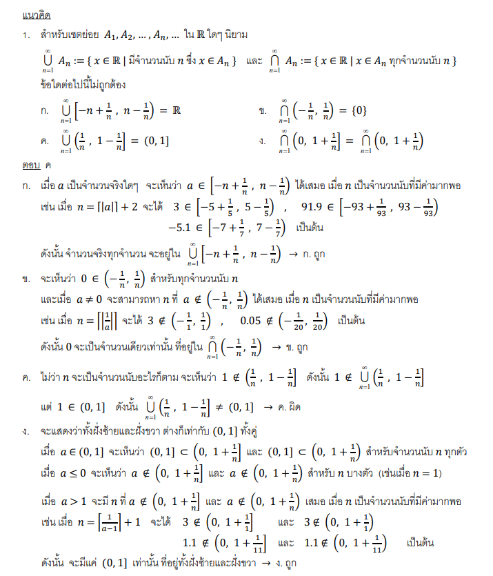
ข้อสอบสมาคมฯ อ่านโจทย์แล้วงง อ่านเฉลย ยิ่งงงกว่าเดิม
กระทู้คำถาม
คณิตศาสตร์
ผมไปอ่านเรื่องไหนเพิ่มเติมดีครับ
แล้วเครื่องหมาย union กับ intersection ตัวใหญ่ๆ นั่นคืออะไรครับ
▼
กำลังโหลดข้อมูล...
▼
แสดงความคิดเห็น
กระทู้ที่คุณอาจสนใจ
ขอสอบถามครับ ข้อ3นี้ตอบอะไรครับ
เฉลยตอบ3 แต่ถูกหมดเลยอยากรู้วิธีคิดครับ
สมาชิกหมายเลข 9160163
สอบถามแนวข้อสอบ ก.พ. หน่อยครับ (ถ้ากระทู้มันเด้งขึ้นซ้ำหลายกระทู้ต้องขออภัย เน็ตไม่ค่อยเสถียรครับ)
สวัสดีครับขอสอบถามหน่อยนะครับ พอดี ข้อสอบ ก.พ. เรื่อง ตารางสดมภ์มีใครพอเข้าใจหรือมีใครพอ อธิบายได้บ้างไหมครับ จากรูป ข้อ 17 กับ 19 ผมเข้าใจว่า ต้องกำหนดอย่างน้อย 3 ค่า เข้าใจครับ แต่พอกำหนดเองไม่ได
สมาชิกหมายเลข 3898787
"ออกข้อสอบเสร็จ... แล้วนึกได้ว่า วัย 50+ คือข้อสอบบทที่ยากที่สุดในชีวิต" (ของเราแล้วมั้ง?)
เมื่อก่อน... เราเคยเป็นคนตอบข้อสอบ วันนี้... เรากลายเป็นคนออกข้อสอบให้คนอื่น เราพยายามคิดโจทย์ที่วัด “การตัดสินใจ” เราวางตัวเลือกที่ดีพอจะเห็น “คุณค่าในตัวคน” แต่พอปิดไฟล์
สมาชิกหมายเลข 6731179
ขอความช่วยเหลือหน่อยได้ไหมครับ
พอดีว่าพรุ่งนี้ต้องสอบวิชาพระพุทธศาสนาแล้วก็ต้องทำเกี่ยวกับพุทธสาวกพุทธสาวิกาและศาสนิกชน https://share.google/images/Cy6FJEKNo45Cc7RfH ช่วยเฉลยข้อสอบอันนี้ให้หน่อยได้ไหมครับพอดีนั่งทำหลายรอบแล้วไม่ตรง
สมาชิกหมายเลข 9096002
แก้โจทย์คณิตศาสตร์เข้า ม.1 ข้อนี้ให้น้องไม่ออก ทำไมมันยากจัง วานผู้รู้ช่วยทีค่ะ TT
พอดีว่าหาแนวข้อสอบพร้อมเฉลยมาให้น้องทำ แต่มันมีเฉลยแบบตัวเลือก ไม่มีวิธีอธิบาย สอนและแก้โจทย์มาได้ทุกข้อ ยกเว้นข้อนี้ค่ะ ทำไม่ได้จริงๆ มันยากไปไหมเนี้ย วานผู้รู้สอนทีค่ะ คำตอบข้อนี้ ตอบ 1. 20 ตารางหน่
กิมจิจังงัง
ทำโจทย์แข่งขันแทบไม่ได้เลย ปกติมั้ย?
คือตอนนี้เรากำลังเตรียมสอบเข้า ม.4 ค่ะ แล้วปัญหาคือทุกวิชาเราสามารถทำได้หมด ยกเว้นคณิตตตต รู้สึกว่าโจทย์แข่งขันพวกนี้ถ้าไม่เคยทำมาก่อนก็แทบจะทำไม่ได้เลยค่ะ เลยเริ่มสงสัยแล้วว่า หรือจริง ๆ แล้วปัญหามัน
สมาชิกหมายเลข 8549998
สงสัยเฉลยข้อสอบ สพฐ. ม.ต้น
ได้ข้อสอบพร้อมเฉลยมาข้อหนึ่งค่ะ สงสัยว่า รู้ได้ยังไงว่า CEF เป็นรูปสามเหลี่ยมด้านเท่า ด้าน CE=CF=5 (โจทย์บอก) แล้วด้าน EF รู้ได้ยังไงคะ
PaKaiAnyada
โจทย์คณิตศาสตร์ คณิตศาสตร์
มีใครมีเฉลยข้อสอบชุดนี้มั้ยคะ เป็นข้อสอบแข่งขันค่ะ
สมาชิกหมายเลข 6803008
คณิตศาสตร์ หลักการนับเบื้องต้น
ให้นักเรียนคนหนึ่งเลือกทำข้อสอบหนึ่งข้อจากห้าข้อแต่ละข้อมีสี่ตัวเลือกจงหาว่านักเรียนคนนี้จะมีวิธีทำข้อสอบดังกล่าวได้ทั้งหมดกี่วิธี ข้อนี้ทำยังไงคะ
สมาชิกหมายเลข 7847927
ส่องตารางคะแนน TCAS รอบ Portfolio (TCAS69) คณะแพทย์/ทันตะ: มหา'ลัยไหนใช้ข้อสอบอะไรบ้าง?
🎓📣 ส่องตารางคะแนน TCAS รอบ Portfolio (TCAS69) คณะแพทย์/ทันตะ: มหา'ลัยไหนใช้ข้อสอบอะไรบ้าง? 🔥 สวัสดีครับ เพื่อนๆ ชาว Pantip! สำหรับน้องๆ ที่กำลังเตรียมยื่น รอบ Portfolio (TCAS69) เข้าคณะสายสุขภาพยอดนิ
สมาชิกหมายเลข 9123137
อ่านกระทู้อื่นที่พูดคุยเกี่ยวกับ
คณิตศาสตร์
บนสุด
ล่างสุด
อ่านเฉพาะข้อความเจ้าของกระทู้
หน้า:
หน้า
จาก
แชร์ :
โปรดศึกษาและยอมรับนโยบายข้อมูลส่วนบุคคลก่อนเริ่มใช้งาน
อ่านเพิ่มเติมได้ที่นี่
ยอมรับ
ข้อสอบสมาคมฯ อ่านโจทย์แล้วงง อ่านเฉลย ยิ่งงงกว่าเดิม
แล้วเครื่องหมาย union กับ intersection ตัวใหญ่ๆ นั่นคืออะไรครับ