หน้าแรก
คอมมูนิตี้
ห้อง
แท็ก
คลับ
ห้อง
แก้ไขปักหมุด
ดูทั้งหมด
เกิดข้อผิดพลาดบางอย่าง
ลองใหม่
แท็ก
แก้ไขปักหมุด
ดูเพิ่มเติม
เกิดข้อผิดพลาดบางอย่าง
ลองใหม่
{room_name}
{name}
{description}
กิจกรรม
แลกพอยต์
อื่นๆ
ตั้งกระทู้
Pantip MALL
เข้าสู่ระบบ / สมัครสมาชิก
เว็บไซต์ในเครือ
Bloggang
Pantown
PantipMarket
Maggang
ติดตามพันทิป
ดาวน์โหลดได้แล้ววันนี้
เกี่ยวกับเรา
กฎ กติกา และมารยาท
คำแนะนำการโพสต์แสดงความเห็น
นโยบายเกี่ยวกับข้อมูลส่วนบุคคล
สิทธิ์การใช้งานของสมาชิก
ติดต่อทีมงาน Pantip
ติดต่อลงโฆษณา
ร่วมงานกับ Pantip
Download App Pantip
Pantip Certified Developer
รบกวนดู step ของ integrate โจทย์นี้ให้หน่อยครับ
กระทู้คำถาม
คณิตศาสตร์
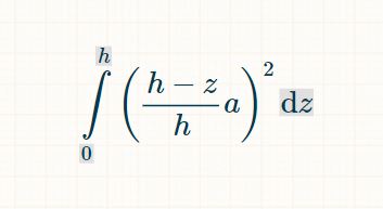
ผมต้องการแก้สมการนี้...
เว็บ rewrite เป็นแบบนี้
ซึ่งการที่เอา z สลับตำแหน่ง h ทำให้ค่าสุดท้ายที่ได้แตกต่างจากการไม่สลับตำแหน่ง
คำถามก็คือ
ใช้หลักการอะไรในการสลับตำแหน่งของ h และ z ครับ? (ในที่นี้ h เป็นขอบบนของการ integrate, ส่วน z เป็นตัวแปร)
▼
กำลังโหลดข้อมูล...
▼
แสดงความคิดเห็น
กระทู้ที่คุณอาจสนใจ
ถามโจทย์การแทรกสอดครับ
นร.คนหนึ่งทำการทดลองการแทรกสอดเรื่องกสนแทรกสอดคลื่นน้ำโดยปล่อยคลื่นน้ำออกมาจากแหล่งกำเนิดคลื่นอาพันธ์ 2 แหล่งเฟสตรงกัน ถ้าต้องการให้ แนว Antinode ที่ 20 กลายเป็
สมาชิกหมายเลข 1514660
สอบถามโจทย์คณิตศาสตร์ครับ
โจทย์ วงกลมดังรูปกำหนดให้ AP = X + 12 PB = x และ PD = x + 6 ถ้านำคอร์ด AB นี้มาวางอยู่ในQที่ 1 ของระบบพิกัดฉาก และให้ความยาว AB เป็นเส้นผ่านศูนย์กลางของวงกลมวงห
สมาชิกหมายเลข 5334302
มีใครสามารถอธิบายการ Sum ตัวเลขใน Excel ได้บ้างครับ มีตัวอย่างปัญหาที่จะถามครับ
สวัสดีครับ ผมมีคำถามเกี่ยวกับ Excel บังเอิญเจอปัญหาที่ว่า Sum ชุดตัวเลขแล้วมันได้เท่ากับศูนย์แบบยังมีเศษเล็กๆๆๆๆๆๆ ตัวอย่างตามคลิป คอลัมภ์ A มีชุดตัวเลขทศนิยม 2
สมาชิกหมายเลข 2134257
เรขาคณิตข้อนี้มีวิธีคิดโดยใช้ตรีโกณฯล้วนๆไหมครับ
กำหนดให้ ABCD เป็นรูปสี่เหลี่ยมจตุรัส มี P เป็นจุดภายใน ทำให้ PA : PB : PC = 1 : 2 : 3 มุม APB กางกี่องศา เท่าที่ผมลองอ่านเฉลยมาเขาใช้วิธีการต่อรูปล้วนๆเลยครับ
สมาชิกหมายเลข 4218166
หาค่า x และ y ยังไง ในเรื่อง vector
ขอแนวทางการหาค่าของ x และ y หน่อยครับ ถ้าใช้ dot จะได้ x +y -7 =0 เราจะแก้หา x และ y ยังไงครับ?
สมาชิกหมายเลข 5189058
โจทย์ยาก คณิตศาสตร์
1. (x^2 + 10X + 20)^2 = (x+a)(x+b)(x+c)(x+d)+16 จงหา a^2+b^2+c^2+d^2 2. 99!! (เฟคทอเรียลซ้อนครับ) เท่ากับใดหรือเขียนให้อยุ่ในรูปการคูณแบบใด 3.(3^3+1)(4^3+1)(5^3
สมาชิกหมายเลข 3491979
5 ลิตร เท่ากับกี่กิโลกรัมคะ
คือ ต้องการทราบจำนวนอ่ะค่ะ แล้วเมื่อกี้ไปดูกระทู้อื่นๆมา เช่น 1 ลิตร เท่ากับ0.78กิโลกรัม แล้วต้องใช้บรรญัติไตรยางค์คิด แล้วเราคิดไม่เป็นน่ะค่ะ งงมาก แต่ต้องการท
สมาชิกหมายเลข 5227791
btc hv ตามความเข้าใจผมครับ
อันนี้ตามความเข้าใจของผมนะครับ การแกะบล็อกของรางวัลการขุด จะทำโดยการแก้โจทย์คณิตศาสตร์ ซึ่งโจทย์เหล่านี้เครื่องคอมฯจะเป็นผู้สร้าง ผู้ขุดเป็นผู้แก้ ซึ่งมันจะสร้า
สมาชิกหมายเลข 1157226
Hannah Cairo นักคณิตศาสตร์สาว ที่ แก้ปัญหาสมการ Mizohata-Takeuchi
เธออายุเพียง 17 ปี ยังไม่ใช่นักศึกษามหาวิทยาลัย ไม่มีแม้แต่ปริญญามัธยมปลาย แต่เด็กสาวคนหนึ่งจากบาฮามาส กลับล้ม “สมมติฐานทางคณิตศาสตร์” ที่ทำให้นักคณิตศาสตร์ระดั
BluCielo
ถ้าเราจะปั้นเด็กไทย ให้เป็นนักล่ารางวัลด้านคณิตศาสตร์ (และฟิสิกส์?) คิดว่าเราควรเริ่มจากตรงไหนคะ
แน่นอนว่าไม่ใช่เด็กทุกคน จะมีความสามารถ หรือความฝัน พรสวรรค์ พรแสวง ในด้านนี้ ควรต้องประคบประหงม ฝึกฝน หรือโค้ช เด็กอย่างไรบ้างคะ
อวัยวะชิ้นนั้น
อ่านกระทู้อื่นที่พูดคุยเกี่ยวกับ
คณิตศาสตร์
บนสุด
ล่างสุด
อ่านเฉพาะข้อความเจ้าของกระทู้
หน้า:
หน้า
จาก
แชร์ :
โปรดศึกษาและยอมรับนโยบายข้อมูลส่วนบุคคลก่อนเริ่มใช้งาน
อ่านเพิ่มเติมได้ที่นี่
ยอมรับ
รบกวนดู step ของ integrate โจทย์นี้ให้หน่อยครับ
เว็บ rewrite เป็นแบบนี้
ซึ่งการที่เอา z สลับตำแหน่ง h ทำให้ค่าสุดท้ายที่ได้แตกต่างจากการไม่สลับตำแหน่ง
คำถามก็คือ ใช้หลักการอะไรในการสลับตำแหน่งของ h และ z ครับ? (ในที่นี้ h เป็นขอบบนของการ integrate, ส่วน z เป็นตัวแปร)