คำตอบที่ได้รับเลือกจากเจ้าของกระทู้
ความคิดเห็นที่ 3

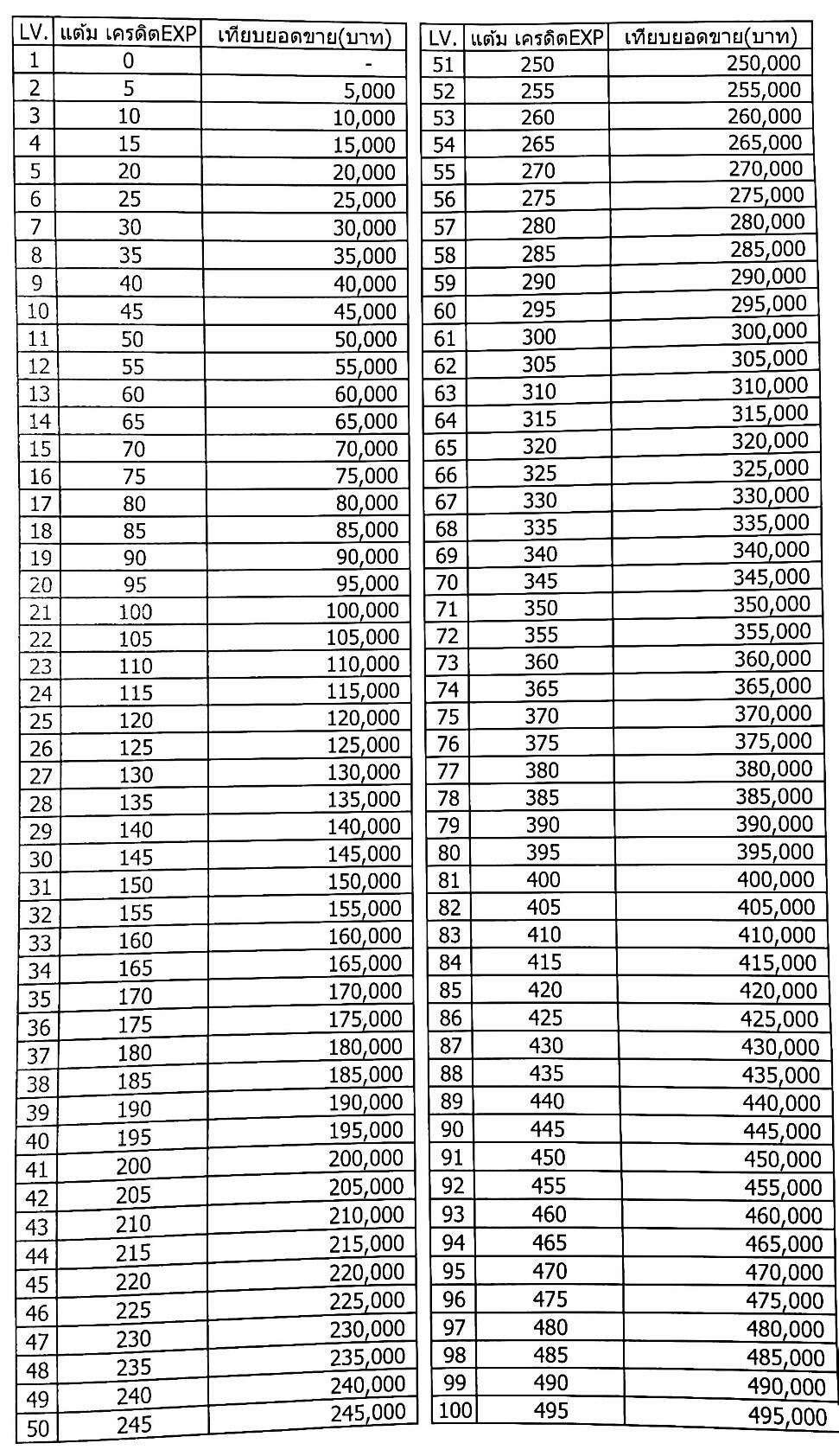
เทียบจากยอดขายนะครับ
เช่น ยอดขาย 4950000 บาท
exp = 4950000/1000 = 495
vl =(exp+4)/5 *** ใช้ ROUNDUP เพื่อให้ปัดตัวเลขขึ้นนะครับ

เทียบจากยอดขายนะครับ
เช่น ยอดขาย 4950000 บาท
exp = 4950000/1000 = 495
vl =(exp+4)/5 *** ใช้ ROUNDUP เพื่อให้ปัดตัวเลขขึ้นนะครับ
▼ กำลังโหลดข้อมูล... ▼
แสดงความคิดเห็น
คุณสามารถแสดงความคิดเห็นกับกระทู้นี้ได้ด้วยการเข้าสู่ระบบ
กระทู้ที่คุณอาจสนใจ
อ่านกระทู้อื่นที่พูดคุยเกี่ยวกับ
Microsoft Office
Microsoft Excel
ขอความช่วยเหลือสูตร Excel ครับ
ที่ผมคิดไว้จะเป็นแบบนี้ครับ
1000 บาท จะเท่ากับ 1 แต้ม ทุกๆ 5 แต้ม เลเวลจะขึ้น 1 เลเวล เป็นแบบนี้ไปเรื่อยๆ
งงมั้ยครับ