หน้าแรก
คอมมูนิตี้
ห้อง
แท็ก
คลับ
ห้อง
แก้ไขปักหมุด
ดูทั้งหมด
เกิดข้อผิดพลาดบางอย่าง
ลองใหม่
แท็ก
แก้ไขปักหมุด
ดูเพิ่มเติม
เกิดข้อผิดพลาดบางอย่าง
ลองใหม่
{room_name}
{name}
{description}
กิจกรรม
แลกพอยต์
อื่นๆ
ตั้งกระทู้
เข้าสู่ระบบ / สมัครสมาชิก
เว็บไซต์ในเครือ
Bloggang
Pantown
PantipMarket
Maggang
ติดตามพันทิป
ดาวน์โหลดได้แล้ววันนี้
เกี่ยวกับเรา
กฎ กติกา และมารยาท
คำแนะนำการโพสต์แสดงความเห็น
นโยบายเกี่ยวกับข้อมูลส่วนบุคคล
สิทธิ์การใช้งานของสมาชิก
ติดต่อทีมงาน Pantip
ติดต่อลงโฆษณา
ร่วมงานกับ Pantip
Download App Pantip
Pantip Certified Developer
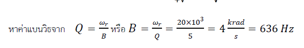
สอบถามหาค่าแบนด์วิธตัวนี้ด้วยครับ ตัวนี้มันมาจากไหนครับ
กระทู้คำถาม
คณิตศาสตร์
สมการ (คณิตศาสตร์)
อิเล็กทรอนิกส์
วิศวกรรมศาสตร์
ผมไม่เข้าใจว่า 4/ krad /s = 636Hz ได้อย่างไรครับ ขอบพระคุณมากๆเลยครับ
แก้ไขข้อความเมื่อ
▼
กำลังโหลดข้อมูล...
▼
แสดงความคิดเห็น
กระทู้ที่คุณอาจสนใจ
สูรตการหากระแสอินพุทของ 3เฟส ยังไงครับ รบกวนผู้รู้หน่อยครับ
ถ้าโจทย์มาแบบนี้ 1. Input: 380Vac(3 phase), 15KW; 2. Output: 650Vdc, 10KW, Output current 15.4A. Iin = ?
สมาชิกหมายเลข 3917810
มอเตอร์ Typ นี้ ต่อใช้งานแบบ สตาร์หรือเดลต้า ครับ ขอบคุณครับ
230-400/277-480V 🔺-Y Hz 50/60 ถ้าผมเข้าใจไม่ผิด ต่อเเบบเดลต้า ใช่ปล่าวครับ ขอบคุณครับ
สมาชิกหมายเลข 3050191
ถามเรื่องการหา Vrms และ Ipeak ของเครื่องขยายเสียงครับ
จากภาพ ผมเข้าใจว่า เขาจ่ายไฟ +-35V ที่โหลด 2 ohm แล้วตรง 17Vrms และตรง peak current = 2A หาได้อย่างไรครับ
สมาชิกหมายเลข 4891950
สอบถามเกี่ยวกับ PWM ความถี่ใน Arduino
คือถ้าเรารับสัญญาณเสียง เช่น เสียงกีต้าร์ไฟฟ้า สมมุติว่า 80 Hz แล้วเราจะปรับให้มันเป็น 70 Hz แล้วส่งออกเป็น PWM ต้องทำยังไงครับ สามารถคำนวณ Duty cycle ได้เลยไหม
สมาชิกหมายเลข 3848109
คำนวนหาค่า วัตต์ จากกระแสไฟฟ้าตู้โหลดเซ็นเตอร์
รบกวนสอบถาม พอดีอยากทราบวิธีคำนวน ค่า วัตต์ จากกระแสไฟฟ้าตู้โหลดเซ็นเตอร์ เช่นกระแสไฟฟ้า R = 93 A. S=73 A. T=82 A. รวมได้ 248 A. คำนวนได้กี่วัตต์ และมีสูตรคำนวน
hijack12
ถามเรื่องอุบัติเหตุของ บิ๊กD2B หน่อยค่ะ เห็นบางข่าวบอกว่า มีคนไปด้วยวันเกิดเหตุ
คนนั้นคือใคร หลังอุบัติเหตุเขาเป็นยังไงบ้างคะ บางข่าวก็ไม่พูดถึงคนที่ไปด้วย และบริเวรที่เกิดเหตุ อยู่ตรงไหนของศรีนคริทร์คะ
TamaGotJi
คำว่า"อังกอร์คอนเสิร์ต"หมายความว่ายังไงเหรอคะ เห็นของD2Bที่กำลังจะมีก็มีคำนี้อยู่ เป็นเหมือนการจัดคอนเสิร์ตซ้ำงี้ป้ะคะ
สมาชิกหมายเลข 2062311
ครบรอบ 20 ปี อุบัติเหตุ บิ๊ก ดีทูบี ผมขอเล่าความประทับใจที่มีต่อพี่บิ๊กครับ
พี่บิ๊ก ดีทูบี ประสบอุบัติเหตุรถคว่ำตกน้ำเมื่อวันที่ 22 กรกฎาคม 2546 ตอนนั้นพี่บิ๊กอายุ 20 ปี ย่าง 21 ปี (พี่บิ๊กเกิดวันที่ 2 ธันวาคม 2525) ทำให้พี่บิ๊กสำลักน้ำ
สมาชิกหมายเลข 7637569
สอบถามผู้รู้เกี่ยวกับระบบ access control ค่ะ ใช้สายอะไรในการเชื่อมต่ออุปกรณ์คะ
สวัสดีรบกวนสอบถามตามหัวข้อเลยค่ะ ไม่แน่ใจว่าต้องใช้สายไฟประเภทไหน กี่ core คะ เห็นบางคนบอกว่าใช้สายแลนได้ จะต้องต่อสายยังไงคะ แล้วในการต่ออุปกรณ์ต้องต่อจากไหนไ
สมาชิกหมายเลข 2223942
สอบถามเรื่องการแปลงไฟ 220v เป็น 110v สำหรับเครื่องเสียงจากญี่ปุ่นครับ
เล็งเครื่องเสียงจากญี่ปุ่นครับเอาไว้ ซึ่งใช้ไฟ 100v ซึ่งใช้กับไฟฟ้าในประเทศไทยไม่ได้โดยตรง ถ้าไม่อยากใช้หม้อแปลงแบบนี้ (บางท่านบอกต้องใช้ 100V เท่านั้น บางท่านบ
สมาชิกหมายเลข 2502012
อ่านกระทู้อื่นที่พูดคุยเกี่ยวกับ
คณิตศาสตร์
สมการ (คณิตศาสตร์)
อิเล็กทรอนิกส์
วิศวกรรมศาสตร์
บนสุด
ล่างสุด
อ่านเฉพาะข้อความเจ้าของกระทู้
หน้า:
หน้า
จาก
แชร์ :
โปรดศึกษาและยอมรับนโยบายข้อมูลส่วนบุคคลก่อนเริ่มใช้งาน
อ่านเพิ่มเติมได้ที่นี่
ยอมรับ
สอบถามหาค่าแบนด์วิธตัวนี้ด้วยครับ ตัวนี้มันมาจากไหนครับ
ผมไม่เข้าใจว่า 4/ krad /s = 636Hz ได้อย่างไรครับ ขอบพระคุณมากๆเลยครับ