คำตอบที่ได้รับเลือกจากเจ้าของกระทู้
ความคิดเห็นที่ 4
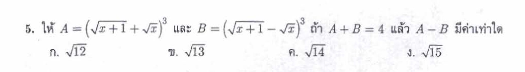
5. (A-B)2 = (A+B)2 - 4AB = 16 - 4(1)
8. ใช้กฏของคราเมอร์ y = det Y / det A = (aq-pc)/(ad - bc)
8. ใช้กฏของคราเมอร์ y = det Y / det A = (aq-pc)/(ad - bc)
▼ กำลังโหลดข้อมูล... ▼
แสดงความคิดเห็น
คุณสามารถแสดงความคิดเห็นกับกระทู้นี้ได้ด้วยการเข้าสู่ระบบ
กระทู้ที่คุณอาจสนใจ
อ่านกระทู้อื่นที่พูดคุยเกี่ยวกับ
คณิตศาสตร์
ช่วยหน่อยค่ะ 2ข้อ หลานถาม ป้าก็ทำไม่ได้