คำตอบที่ได้รับเลือกจากเจ้าของกระทู้
ความคิดเห็นที่ 2
ที่ column S
=VLOOKUP(B2,Sheet2!$A$2:$B$28,2,0)
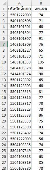
sheet2 ข้อมูลคะแนน
=VLOOKUP(B2,Sheet2!$A$2:$B$28,2,0)
sheet2 ข้อมูลคะแนน
▼ กำลังโหลดข้อมูล... ▼
แสดงความคิดเห็น
คุณสามารถแสดงความคิดเห็นกับกระทู้นี้ได้ด้วยการเข้าสู่ระบบ
กระทู้ที่คุณอาจสนใจ
อ่านกระทู้อื่นที่พูดคุยเกี่ยวกับ
ซอฟต์แวร์
Microsoft Excel
สอบถามสูตรเปรียบเทียบค่า ใน excel แล้วนำค่าที่ได้มาแสดงผลหน่อยครับ
จากรูปที่ 1 ต้องการนำรหัสนักศึกษา มาเปรียบเทียบกับรูปต่อไปนี้
เมื่อเปรียบเทียบข้อมูลแล้ว ถ้ารหัสนักศึกษาตรงกัน ให้นำคะแนน
มาแสดงผลใน ช่อง S ในรูปที่ 1 สามารถทำได้หรือไม่ครับ