หน้าแรก
คอมมูนิตี้
ห้อง
แท็ก
คลับ
ห้อง
แก้ไขปักหมุด
ดูทั้งหมด
เกิดข้อผิดพลาดบางอย่าง
ลองใหม่
แท็ก
แก้ไขปักหมุด
ดูเพิ่มเติม
เกิดข้อผิดพลาดบางอย่าง
ลองใหม่
{room_name}
{name}
{description}
กิจกรรม
แลกพอยต์
อื่นๆ
ตั้งกระทู้
เข้าสู่ระบบ / สมัครสมาชิก
เว็บไซต์ในเครือ
Bloggang
Pantown
PantipMarket
Maggang
ติดตามพันทิป
ดาวน์โหลดได้แล้ววันนี้
เกี่ยวกับเรา
กฎ กติกา และมารยาท
คำแนะนำการโพสต์แสดงความเห็น
นโยบายเกี่ยวกับข้อมูลส่วนบุคคล
สิทธิ์การใช้งานของสมาชิก
ติดต่อทีมงาน Pantip
ติดต่อลงโฆษณา
ร่วมงานกับ Pantip
Download App Pantip
Pantip Certified Developer
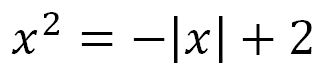
คำตอบของสมการนี้คืออะไร และสามารถวาดกราฟหาคำตอบได้กี่แบบครับ?
กระทู้คำถาม
วิชาการ
คณิตศาสตร์
ติวเตอร์
▼
กำลังโหลดข้อมูล...
▼
แสดงความคิดเห็น
กระทู้ที่คุณอาจสนใจ
สมการคณิตศาสตร์อย่างนี้ถูกหรือผิดครับ?
Komkanit
อยากจะสร้างสมการจากกราฟ
คือเรื่องของเรื่องอาจารย์สอนคณิตเราให้เขียนสมการเพื่อสร้างกราฟให้มันเป็นรูปแบบต่างๆ แบบรูปหมาแมวอะไรก็ได้ แต่ทีนี้เราอยากจะวาดกราฟ แล้วให้มันแปลงให้เป็นสมการ เพราะเราเขียนสมการได้แย่มาก พอจะมีทางบ้างม
สมาชิกหมายเลข 4289542
หาโปรแกรม/เว้บ คิดสมการจากกราฟค่ะ
ตอนนี้ทำโครง คณิตศาสตร์เรื่องการออกแบบลายจากกราฟค่ะ อยากสอบถามว่ามีโปรแกรม/เว้บอะไรที่เกี่ยวกับการหาสมการ/กราฟไหมคะ เช่น วาดกราฟแล้วขึ้นตัวสมการของกราฟนี้ให้ประมาณนี้ค่ะ
สมาชิกหมายเลข 4752568
การเขียนโจทย์ในรูปสมการ & อสมการ มีความสัมพันธ์กับกราฟอย่างไร ?
คำถามนี้ ขอถามในความรู้ ม.ปลายนะครับ เวลาเรียนคณิตศาสตร์ อ. อธิบายว่า ในการแก้ปัญหาคณิตศาสตร์นั้น นอกจากเราทำการแก้โดยใช้วิธีการแก้สมการ & อสมการโดยตรงแล้ว เรายังสามารถแก้ได้อีกวิธี คือ การนำสมการ
สมาชิกหมายเลข 4038325
ช่วยคิดรูปจากสมการฟังก์ชันต์ตรีโกณหน่อยครับ
ตามหัวข้อกระทู้เลยครับ รูปที่ประกอบจากเส้นกราฟฟังก์ชันตรีโกณมิติ วาดผ่าน Gepgebra ครับ ขอบคุณล่วงหน้าครับ
สมาชิกหมายเลข 4727590
มีหนังสือคณิตศาสตร์ ป.6 แนะนำบ้างไหมครับ
พอดีกำลังจะหาหนังสือติวคณิตศาสตร์ ป.6 ให้เด็กๆอ่ะครับ เกี่ยวกับเนื้อหาร้อยละ สมการ บทประยุกต์ อยากได้หนังสือที่ละเอียดๆ อ่านแล้วเข้าใจง่าย มีแบบฝึกหัดให้ทำพอสมควรอ่ะครับ รบกวนขอคำแนะนำด้วยครับ
สมาชิกหมายเลข 857413
หาปริมาตรขวดน้ำแบบเปลือก แคลll
ถ้าเราต้องการที่จะหาปริมาตรขวดน้ำ ขวดหนึ่งโดยวิธีเปลือก อยากทราบว่าพอมีใครจะรู้จะโปรแกรมที่วาดกราฟลงไปแล้วจะบอกสมการมาให้มั้ยคะ หรือใครพอรู้วิธีที่จะหาสมการของขวดน้ำ โดยที่เอารอยหยักด้วย ซึ่งอาจารย์บอ
สมาชิกหมายเลข 2799191
ตอนนี้อยู่ม.3อยากทราบว่าสอบเข้าลือคําหาญวารินชําราบม.4ยากมั้ยคะกลัวไม่ติด
ตอนนี้อยู่ม.3เครียดมากเลยค่ะมีใครมีที่ติวที่เก่งๆมั้ยคะแล้วถ้าไม่ติดแนะนําโรงเรียนที่ดีๆทีค่ะลองจากลือคําหาญ
สมาชิกหมายเลข 9110487
สมมติมี สมการ y = 10+0.5(e^x) กราฟจะออกมาเป็นยังไงครับ
ขอบคุณครับ
สมาชิกหมายเลข 885372
การหาพื้นที่ข้อนี้ทำไม่ได้ เพราะโจทย์ไม่สมบูรณ์ ใช่ไหมคะ
รูปสี่เหลี่ยมจากตรงไหนถึงตรงไหน ลากไม่ได้เลยค่ะ หาพื้นที่ไม่ได้ ใช่ไหมคะ หรือว่าพอจะเดาๆ ลากๆ ได้อยู่
PaKaiAnyada
อ่านกระทู้อื่นที่พูดคุยเกี่ยวกับ
วิชาการ
คณิตศาสตร์
ติวเตอร์
บนสุด
ล่างสุด
อ่านเฉพาะข้อความเจ้าของกระทู้
หน้า:
หน้า
จาก
แชร์ :
โปรดศึกษาและยอมรับนโยบายข้อมูลส่วนบุคคลก่อนเริ่มใช้งาน
อ่านเพิ่มเติมได้ที่นี่
ยอมรับ
คำตอบของสมการนี้คืออะไร และสามารถวาดกราฟหาคำตอบได้กี่แบบครับ?