Factorial ข้อนี้ตอบอะไรครับ

กระทู้คำถาม
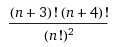
อยากรู้วิธีคิดของมัน ช่วยชี้แนะหนทางทีครับ
คำตอบที่ได้รับเลือกจากเจ้าของกระทู้
ความคิดเห็นที่ 1
ก็ตรงไปตรงมา ตามนิยามของ factorial

ไม่ได้แสดงวิธีทำเพราะมันง่ายเกิน

([(n+1)(n+2)(n+3)]2)*(n+4)
แสดงความคิดเห็น
โปรดศึกษาและยอมรับนโยบายข้อมูลส่วนบุคคลก่อนเริ่มใช้งาน อ่านเพิ่มเติมได้ที่นี่