หน้าแรก
คอมมูนิตี้
ห้อง
แท็ก
คลับ
ห้อง
แก้ไขปักหมุด
ดูทั้งหมด
เกิดข้อผิดพลาดบางอย่าง
ลองใหม่
แท็ก
แก้ไขปักหมุด
ดูเพิ่มเติม
เกิดข้อผิดพลาดบางอย่าง
ลองใหม่
{room_name}
{name}
{description}
กิจกรรม
แลกพอยต์
อื่นๆ
ตั้งกระทู้
เข้าสู่ระบบ / สมัครสมาชิก
เว็บไซต์ในเครือ
Bloggang
Pantown
PantipMarket
Maggang
ติดตามพันทิป
ดาวน์โหลดได้แล้ววันนี้
เกี่ยวกับเรา
กฎ กติกา และมารยาท
คำแนะนำการโพสต์แสดงความเห็น
นโยบายเกี่ยวกับข้อมูลส่วนบุคคล
สิทธิ์การใช้งานของสมาชิก
ติดต่อทีมงาน Pantip
ติดต่อลงโฆษณา
ร่วมงานกับ Pantip
Download App Pantip
Pantip Certified Developer
++ช่วยแก้สมการนี้หน่อยครับ++
กระทู้คำถาม
วิศวกรรมศาสตร์
คณิตศาสตร์
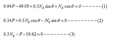
พอดีผมทำโจทย์เกี่ยวกับ Static มาครับ เลยได้สมการนี้ออกมา ช่วยแนะนำแนวทางการแก้สมการนี้หน่อยครับ
ตัวไม่ทราบค่ามี 3 ตัวคือ P N(E) Zeta ครับ
▼
กำลังโหลดข้อมูล...
▼
แสดงความคิดเห็น
กระทู้ที่คุณอาจสนใจ
โจทย์คณิตศาสตร์แบบนี้ ที่โรงเรียนประถมสอนกันยังไงครับ (A-X=B)
สอนการบ้านลูก ป.1 ครับ มาเป็นโจทย์ปัญหา ตีเป็นสัญลักษณ์ A-X = B, คำตอบก็ X = A-B แต่ผมสอนให้ลูกเชื่อมไปไม่ได้ครับ จะใช้วิธีย้ายข้างแบบสมการ หรือเติม x แล้วหัก B ออกทั้งสองข้าง ลูกก็ไม่เข้าใจ (ก็ควรจ
C&N
ช่วยแก้โจทย์อันนี้หน่อยค่ะ 😭
กระทู้นี้ถูกซ่อน
สมาชิกหมายเลข 9255605
หาค่า Optimization เกี่ยวกับเรื่อง control กำหนด Objective funtion min max และ constraints ใครพอจะมีตัวอย่างโจทย์บ้าง
ผมพึ่งเรียนเกี่ยวกับ Optimization แล้วอาจารก็สั่งงานให้คิดโจทย์ optimization โดยมีสมการอ้างอิงจากระบบ control จึงอยากได้แนวทางการหาค่าoptimization
สมาชิกหมายเลข 3069170
หาค่าตัวแปร ของโจทย์แบบนี้ ไปทางไหนดีคะ
ตอนนี้แก้ปัญหาไม่ออก วนเป็นวงกลมอยู่กับที่ โจทย์นี้เจอมาจากที่แชร์ๆ กันมา ข้อสอบเข้า ม.1
PaKaiAnyada
มาทำโจทย์ เดือน ตุลาคม 2568 กันครับ
https://drive.google.com/drive/folders/1Ng2zYckk96_WE19ivxy1aUbYiyI6fRsn?usp=drive_link เดือนนี้มีโจทย์หลายแบบให้ฝึกทำ ครับ ผมไม่ได้แบ่งความรู้ตามชั้นเรียน ครับ แต่จะปรับตามพัฒนาการ ซึ่ง ตอนนี้ ยังอ
lamaka_tor
ขอคำแนะนำการเรียนคณิตสอบเข้า ม.1 สำหรับคนไม่ถนัดนามธรรม
สวัสดีพี่ ๆ ครับ ผมกำลังเตรียมสอบเข้า ม.1 แต่ติดปัญหาคณิตมาก โดยเฉพาะพวกสมการ/ตรรกะ พื้นฐานผมไม่ใช่สายท่องหรือคิดนามธรรม แต่ถนัด คิดเป็นภาพ และระบบจริง ผมพอทำโจทย์แนว แก้สมการง่าย ๆ คิดแบบเป็นขั้นเป็น
สมาชิกหมายเลข 8063896
all x some y กับ some y all x
คืองี้ครับ ผมลองถาม GPT มา all x some y คือไร มันบอกว่าคือ สำหรับทุกค่า x จะมีอย่างน้อยหนึ่ง y ที่ทำให้เงื่อนไขเป็นจริง เเต่อาจารของผมบอกว่ามันคือ y หนึ่งตัวที่ทำให้ x ทุกตัวเป็นจริงซึ่งผมไปถาม GPT อี
สมาชิกหมายเลข 6317956
฿฿ ที่จริง สูตร E = mc2 ไม่ใช่ไอน์สไตน์คิดค้นคนเดียว..แต่ มีการคิดค้นสะสมกันมาจากนักวิทย์ฯในยุคนั้นหลายๆๆคนซ้อนๆกันมา ฿฿
...ไอน์สไตน์ เป็นเพียงคนสุดท้าย ที่เสนอไอเดียว่า สูตรขั้นสุดท้าย ระหว่างความสัมพันธ์ของมวลและพลังงาน ควรจะเป็น E = mc2 ...นักวิทยาศาสตร์คนสำคัญๆ ในยุคนั้นที่คิด และ พัฒนาเรื่องนี้มาก่อน (ในเวลาเดียวกั
สมาชิกหมายเลข 8557176
ช่วยด้วยค่ะ
10*5 =40 3*7 = 25 6*6 = ? 1. 31 2. 14 3. 27 4. 42 ข้อนี้คิดยังไงคะ อยากรู้ว่าทำยังไงถึงจะมอง operation ออกคะ พอดีรู้สึกว่ามองไม่ออกเลย
สมาชิกหมายเลข 2155078
โจทย์คณิตศาสตร์ จงหา หรม ของ 168 420 และ 588 โดยใช้ขั้นตอนแบบยูคลิด แสดงวิธีทำ
ขอบคุณครับผม ได้แล้วครับ
สมาชิกหมายเลข 9068738
อ่านกระทู้อื่นที่พูดคุยเกี่ยวกับ
วิศวกรรมศาสตร์
คณิตศาสตร์
บนสุด
ล่างสุด
อ่านเฉพาะข้อความเจ้าของกระทู้
หน้า:
หน้า
จาก
แชร์ :
โปรดศึกษาและยอมรับนโยบายข้อมูลส่วนบุคคลก่อนเริ่มใช้งาน
อ่านเพิ่มเติมได้ที่นี่
ยอมรับ
++ช่วยแก้สมการนี้หน่อยครับ++
พอดีผมทำโจทย์เกี่ยวกับ Static มาครับ เลยได้สมการนี้ออกมา ช่วยแนะนำแนวทางการแก้สมการนี้หน่อยครับ
ตัวไม่ทราบค่ามี 3 ตัวคือ P N(E) Zeta ครับ