หน้าแรก
คอมมูนิตี้
ห้อง
แท็ก
คลับ
ห้อง
แก้ไขปักหมุด
ดูทั้งหมด
เกิดข้อผิดพลาดบางอย่าง
ลองใหม่
แท็ก
แก้ไขปักหมุด
ดูเพิ่มเติม
เกิดข้อผิดพลาดบางอย่าง
ลองใหม่
{room_name}
{name}
{description}
กิจกรรม
แลกพอยต์
อื่นๆ
ตั้งกระทู้
เข้าสู่ระบบ / สมัครสมาชิก
เว็บไซต์ในเครือ
Bloggang
Pantown
PantipMarket
Maggang
ติดตามพันทิป
ดาวน์โหลดได้แล้ววันนี้
เกี่ยวกับเรา
กฎ กติกา และมารยาท
คำแนะนำการโพสต์แสดงความเห็น
นโยบายเกี่ยวกับข้อมูลส่วนบุคคล
สิทธิ์การใช้งานของสมาชิก
ติดต่อทีมงาน Pantip
ติดต่อลงโฆษณา
ร่วมงานกับ Pantip
Download App Pantip
Pantip Certified Developer
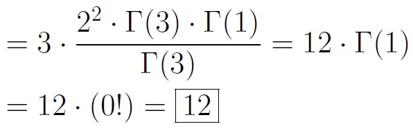
เครื่องหมายอันนี้ของคณิตศาสตร์คืออะไรครับ
กระทู้คำถาม
คณิตศาสตร์
มันเรียกว่าอะไรแล้วใช้ยังไงหรอครับ
▼
กำลังโหลดข้อมูล...
▼
แสดงความคิดเห็น
กระทู้ที่คุณอาจสนใจ
รำไพพรรณี ครุศาสตร์ คณิตศาสตร์
คือผมอยากทราบครับว่าคณะครุศาสตร์ สาขาวิชาคณิตศาสตร์เขาจะสอบกันยังไงหรอครับ จะมีข้อสอบให้ทำมั้ย ถ้ามีมันเป็นแนวยังไงหรอครับ คือผมไม่ทราบอะไรเลยเกี่ยวกับสาขานี้ครับ ผมพยามหาแล้วแต่ไม่เจออะไรเลยครับ ผมเล
สมาชิกหมายเลข 9228142
TFG จะถูกปลดจากเครื่องหมาย NP ได้ ต่อเมื่อคุณวินัยได้ลาออกจากการเป็นกรรมการของบริษัทอย่างเป็นทางการแล้ว ใช่มั้ยครับ
การขึ้นเครื่องหมาย เรื่อง : การขึ้นเครื่องหมาย NP ชื่อย่อหลักทรัพย์ - บริษัท ไทยฟู้ดส์ กรุ๊ป จำกัด (มหาชน) (TFG) ขึ้นเครื่องหมาย : NP วันที่ขึ้นเครื่องหมาย : 30 ธ.ค. 2568 เหตุผล : บริษัทได้เปิดเผย
สมาชิกหมายเลข 6668888
꧁✿💐⭐️🌺✨🌻💖🍀╭⊱ My garden ปี 12 เกมชิงสลาก ฯ นำโชค งวดที่ 1 วันที่ 2 มค. 2569 #2 รอบชิงชนะเลิศ ⊱╮🍀💖🌻✨🌺🌟💐✿꧂
กระทู้ประจำวันเสาร์ที่ 27 ธันวาคม 2568 ชื่อเกม :- “ เลือกตัวอักษรในแต่ละคู่ พร้อมเครื่องหมายให้ดี ดวงดี อาจจะเป็นเศรษฐีเงินล้านจ้า “ &n
หนุ่มแม่ริม
เครื่องหมายคณิตศาสตร์ ???
รบกวนถามหน่อยนะคะ เครื่องหมายทางคณิตศาสตร์ที่เป็นเครื่องหมายมากกว่าแล้วมีขีดทับบนเครื่องหมาย นี่เป็นเครื่องหมายที่บอกถึงอะไรคะ ขอโทษนะคะที่ไม่ได้ลงรูป # ขอบคุณมากๆค่ะ
สมาชิกหมายเลข 3323937
ผมไปจีนล่าสุด บินอินเตอร์จากซีอานกลับไทย เจ้าหน้าที่ security สนามบินซีอานเช็ค power bank ว่าต้องมีเครื่องหมาย ccc ด้วย
ผมไปจีนล่าสุด บินอินเตอร์จากซีอานกลับไทย เจ้าหน้าที่ security สนามบินซีอานเช็ค power bank ว่าต้องมีเครื่องหมาย ccc ด้วย ดีน่ะ ผมซื้อ power bank ใหม่ที่มี ccc ไว้แล้ว ไม่งั้นโดนทิ้ง นึกว่าตรวจเฉพาะเท
สมาชิกหมายเลข 6392772
เครื่องหมายบนเคื่องวัดความดัน
เครื่องหมายบนเคื่องวัดความดันมันคืออะไรบ้างครับ
สมาชิกหมายเลข 8765153
เครื่องหมายแบบนี้ ใช้เชิงคณิตศาสตร์ อ่านว่าอะไรคะ
ถ้าอัตราการขาย 100คือ ตรงกะเครื่องหมายในภาพไห
jiew_gift
วันที่ 43 แผ่นที่ 43 Challenge “อ่านโน้ตครอบจักรวาลได้ใน 48 วัน”
วันที่ 43 แผ่นที่ 43 Challenge “อ่านโน้ตครอบจักรวาลได้ใน 48 วัน”– Treble Clef เพิ่ม Gb6 – ใช้ Key of Db Major / Bb Minor มี 5b คือ Bb Eb Ab Db Gbคำอธิบายและคำตอบข้อที่ 43 อยู่ใ
RealRider
จริงๆแล้วเราควรทำสัญญาให้บริษัทหลักทรัพย์ ยืมหุ้นดีหรือไม่…….
1. ให้ยืมดอกเบี้ยก็คงไม่ได้เยอะอะไร 2. ให้ยืมแล้วขึ้นเครื่องหมายจะขายได้มั้ยคงยาก 3. ต่อให้เราไม่ได้ทำสัญญาให้ยืม ก็คงมีการจิ๊กหุ้นไปอยู่ดี ระบบทำได้อยู่เล้วตรวจไม่เจอโชว์ที่จอสวยๆ แต่ช่วงนี้ ปอบ ก็ร
สมาชิกหมายเลข 6631315
แชร์ประสบการณ์เจ็บจี๊ดจากการจัดหน้า! เครื่องหมาย (‘) หายหมดตอนแปลงไฟล์ Word เป็น PDF — นิยาย 200 หน้าเกือบพัง!
สวัสดีค่ะ วันนี้ขอมาแชร์ประสบการณ์จริงของเราเองที่เกือบร้องไห้หนักมาก เพราะเจอปัญหาที่ ตอนแรกไม่รู้เลยว่าเกิดขึ้นได้! เราแปลนิยายตัวเองเป็นภาษาอังกฤษจบเล่ม (200 กว่าหน้า) พิสูจน์อักษรละเอียดมาก จัดหน
Mara_padkhai
อ่านกระทู้อื่นที่พูดคุยเกี่ยวกับ
คณิตศาสตร์
บนสุด
ล่างสุด
อ่านเฉพาะข้อความเจ้าของกระทู้
หน้า:
หน้า
จาก
แชร์ :
โปรดศึกษาและยอมรับนโยบายข้อมูลส่วนบุคคลก่อนเริ่มใช้งาน
อ่านเพิ่มเติมได้ที่นี่
ยอมรับ
เครื่องหมายอันนี้ของคณิตศาสตร์คืออะไรครับ
มันเรียกว่าอะไรแล้วใช้ยังไงหรอครับ