คำตอบที่ได้รับเลือกจากเจ้าของกระทู้
ความคิดเห็นที่ 1
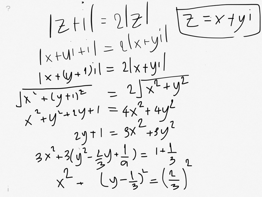
ผมได้ไม่ตรงอะ ผมทำแบบนี้นะ
นานมากเลยลืมๆ ไปหมดแย้วว
นานมากเลยลืมๆ ไปหมดแย้วว ▼ กำลังโหลดข้อมูล... ▼
แสดงความคิดเห็น
คุณสามารถแสดงความคิดเห็นกับกระทู้นี้ได้ด้วยการเข้าสู่ระบบ
กระทู้ที่คุณอาจสนใจ
อ่านกระทู้อื่นที่พูดคุยเกี่ยวกับ
คณิตศาสตร์
set คำตอบ ของ จำนวนเชิงซ้อน
คำตอบคือ
[Spoil] คลิกเพื่อดูข้อความที่ซ่อนไว้
เจอโจทย์แบบนี้ไปไม่ถูกเลยทีเดียว อยากรู้วิธีคิดอะครับ ขอบคุณครับ