คำตอบที่ได้รับเลือกจากเจ้าของกระทู้
ความคิดเห็นที่ 1
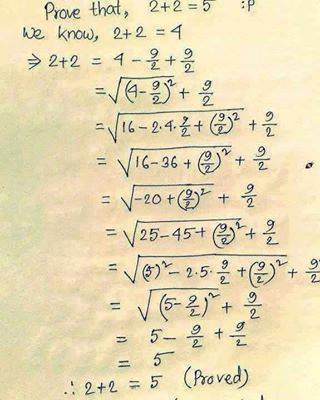
-*- ผิดตั้งแต่แรกเลยครับ
แอบเนียน เปลี่ยน - เป็น + ด้วยการใช้ยกกำลัง 2 แล้ว sqrt
แอบเนียน เปลี่ยน - เป็น + ด้วยการใช้ยกกำลัง 2 แล้ว sqrt
TangLin ถูกใจ, สมาชิกหมายเลข 717760 ขำกลิ้ง, สมาชิกหมายเลข 1737406 ถูกใจ, คุณชายเหมียวเขี้ยวดำ ถูกใจ, สู้เพื่อเธอ ถูกใจ, สารถีเลื่อนลอย ทึ่ง, หมวยตาหยี ถูกใจ, ไทปัน ถูกใจ, ทุ่งข้าวตอก ถูกใจ, Lazy return ถูกใจรวมถึงอีก 5 คน ร่วมแสดงความรู้สึก
▼ กำลังโหลดข้อมูล... ▼
แสดงความคิดเห็น
คุณสามารถแสดงความคิดเห็นกับกระทู้นี้ได้ด้วยการเข้าสู่ระบบ
2+2 = 5 ?
ผิดตรงไหนครับ ?